搜索

x

留言板

姓名
邮箱
手机号码
标题
留言内容
验证码

引用本文:
Citation:

李耀, 李琼, 张重庆, 李燕军
cstr: 32037.14.aps.74.20251124

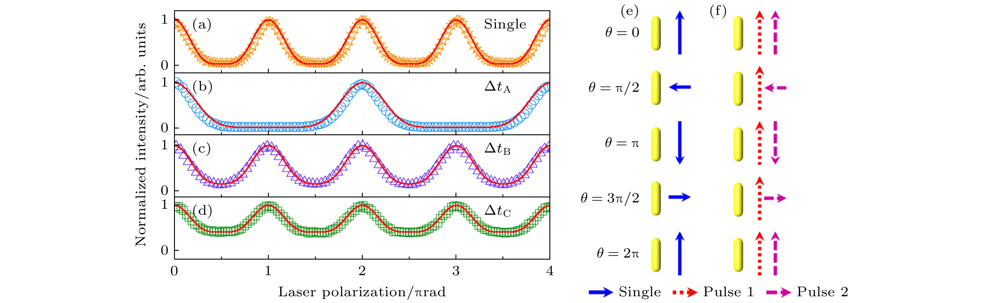
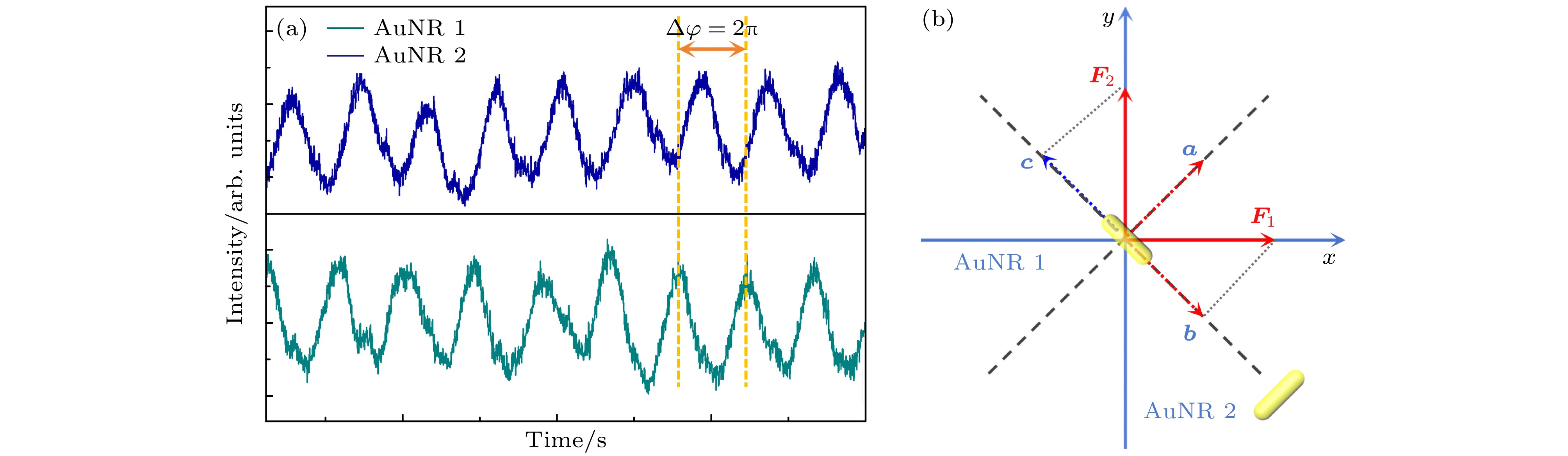
Dynamical study on orientation arrangement of gold nanorods via coherent modulation amplitude projection

LI Yao, LI Qiong, ZHANG Chongqing, LI Yanjun
cstr: 32037.14.aps.74.20251124
Article Text (iFLYTEK Translation)
PDF
HTML
导出引用
在线预览
计量
  • 文章访问数:  439
  • PDF下载量:  8
  • 被引次数: 0
出版历程
  • 收稿日期:  2025-08-21
  • 修回日期:  2025-09-24
  • 上网日期:  2025-10-10

返回文章
返回