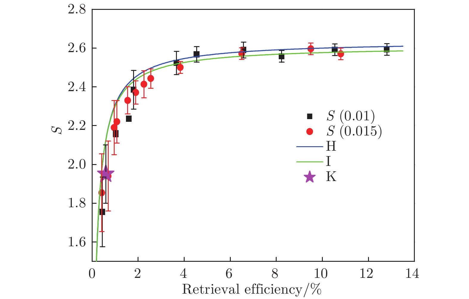
The photon-atom interface is a basic component of quantum repeater, quantum network, and linear optical quantum computing. Different approaches have been tested in the last decade to develop quantum interface, such as quantum dots, single atoms and ions, color centers and cold atomic ensemble. In the cold atomic ensemble, a normal way to produce photon-atom interface is the Duan-Lukin-Cirac-Zoller (DLCZ) protocol. Used in the DLCZ protocol is an atomic ensemble that can emit single photons while creating a single atomic excitation, which is stored in the ensemble. The atomic excitation can be converted into a photon due to the collective interference. The influences of the retrieval efficiency on the atom-photon entanglement source have been studied in various experiments. But no one has studied the retrieval efficiency threshold of entanglement generation. In our experiment we study the retrieval efficiency dependence on read power and OD. Setting the power of the repump light beam to be 12.2 mW, 5.0 mW, 2.0 mW, 0.5 mW and 0.3 mW, OD of the cold atom ensemble is measured to be 20, 17, 10, 2, and 1, respectively. As we expected, the retrieval efficiency increases with increasing OD value and read power, the curve shows that the retrieval efficiency increases sharply with increasing the OD value and read power, then after a while slowly increases with increasing the OD values and read power. Then we measure the Bell parameter with increasing the retrieval efficiency by increasing the read power. It shows that the Bell parameter sharply increases for retrieval efficiency values ranging from 0 to 3%, but changes very small for retrieval efficiency values ranging from 3% to 18.3%. The maximum Bell parameter is 2.6. We further analysis the result, finding that the Bell parameter can be expressed as
$S = \dfrac{{{S_{{\rm{MAX}}}}r}}{{(1 + 2\chi )r + 2B}}$
. Fitting parameters to the curve are
$\chi$
= 1%,
B= 0.073%. To avoid of multi-excitation the write power kept low that
$\chi$
at 1% level. Then we can find out from the function that the signal-to-noise ratio is bigger than 6∶1 the Bell parameter will reach 2. The theoretical analysis and experimental results fit very well. So the further reason that alter the Bell parameter is the signal-to-noise ratio. We should decrease the noise while increasing the retrieval efficiency. This paper will help with rise the quality of entanglement generation through photon-atom interface.