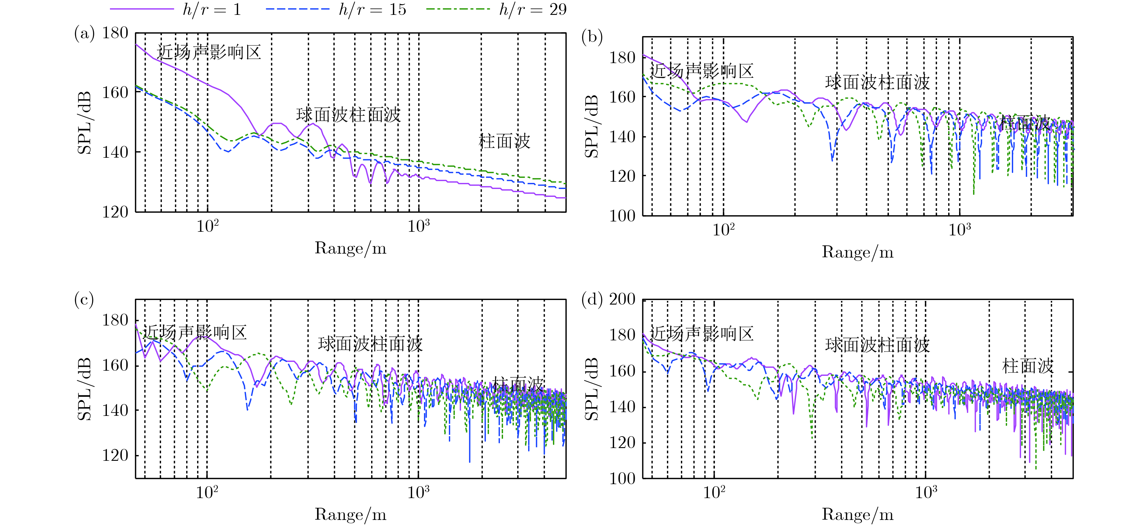
It can be a difficult problem to precisely predict the acoustic field radiated from a finite elastic structure in shallow water channel because of its strong coupling with up-down boundaries and the fluid medium, whose acoustic field cannot be calculated directly by existing methods, such as Ray theory, normal mode theory and other different methods, which are adaptable to sound fields from idealized point sources in waveguide. So, there is no reliable research method of predicting the acoustic radiation of elastic structure in shallow water at present. Based on the finite element method (FEM) coupled with the parabolic equation (PE), the theoretical model for structure acoustic radiation in shallow water at low frequency is established in this paper. This model mainly consists of three sections. First, obtaining the near-field vibro-acoustic characteristics of the elastic structure in shallow water by the multi-physics coupling model established by FEM, whose FEM model includes the up-down boundaries and the completely absorbent sound boundaries in the horizontal direction. Second, getting the acoustic information in the depth, which is set as the acoustic input condition i.e. starting field for the PE. Third, the acoustic information in the far-field quickly calculated by the PE and the finite difference method (FDM). The accuracy, efficiency and fast convergence of FEM-PE method are validated by numerical simulation and theoretical analysis through using a monopole source and structural source in the Pekeris waveguide, respectively. The vibro-acoustic characteristics of elastic cylinder influenced by upper and lower fluid boundaries of the Pekeris waveguide are calculated and analyzed. The cylindrical shell material is steel, and it is 1 m in radius and 10 m in length. The shallow water channel is a Pekeris waveguide with 30 m in depth, at the upper boundary, i.e., the free surface, the lower boundary is the semi-infinite liquid boundary. The analyzed frequencies range from 50 Hz to 200 Hz. The study shows that when the cylindrical shell approaches to the sea surface or bottom, the coupled frequency is higher or lower respectively than that of the shell immersed in the free field. When the diving depth reaches a certain distance range, the coupled frequency tends to be the same as that in free field. The acoustic field radiated from an elastic shell in Pekeris waveguide is similar to that from a point source at low frequency, but there exists a significant difference in high frequency between them, so the structural source can be equivalent to a point source conditionally. The sound radiation attenuation of the structure happens in sequence according to the near-field acoustic shadow zone, the spherical wave attenuation zone, the region between spherical wave and the cylindrical wave attenuation zone, and the cylindrical wave attenuation zone.