Based on a hybrid model of a single-mode microcavity system plus an ensemble of two-level atoms (TLAs), we investigate the effect of quantum correlated coherence (QCC) [Tan K C,
et al.2016 Phys. Rev. A 94, 022329] of bath on the dynamic behaviors of system. The dynamic equations of system for a general bath with QCC have been derived. With the help of the GHZ-like state with QCC and its reference state, the role of QCC as a thermodynamic resource has been clearly shown where QCC could be used to enhance the system's energy. Meanwhile, combining with the analytical and numerical simulation methods, the influences of effective temperature of
$ GHZ $
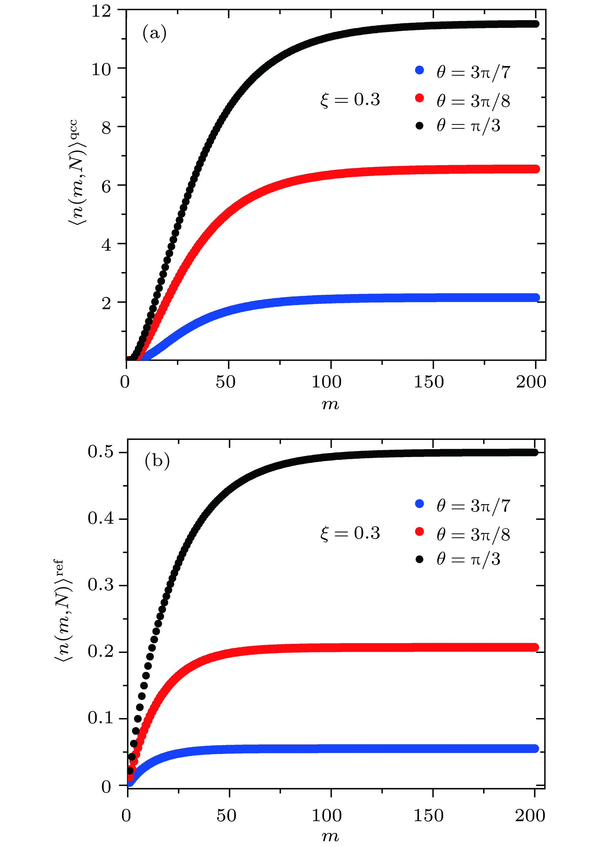
-like bath and the coupling strength between the system and the bath on the energy effect of QCC have been studied. We find that the energy contribution of QCC to the cavity field relies not only on the effective temperature of bath but also on the coupling strength. That is completely different from the case of traditional thermal bath where the energy captured by the cavity from the bath only depends on the bath temperature, i.e., the thermal distribution of TLAs. Moreover, several interesting phenomena, in the paper, have been shown: 1) the higher of the effective temperature of bath, the larger of the cavity's energy extracted from the QCC of bath; 2) under the fixed effective temperature of bath, the smaller of the coupling strength the larger of the maximal extractable energy from QCC of bath; 3) there exists the trade-off between the cavity's energy and the capability of cavity capturing the energy of TLAs entering the cavity, i.e., the cavity's energy extracted from each TLA crossing the cavity always decreases as the energy of cavity increases; 4) the energy contribution of QCC of bath to cavity is beyond the one of the thermal distribution of TLAs in bath, and it could become more prominent when the coupling strength is taken the smaller value, which also means that in the case of weak coupling strength it is the QCC of bath not the thermal distribution of bath dominating the cavity's energy. Thus, the QCC of bath could be viewed as a kind of high quality thermodynamic resource. It has the potential applications in the design of a quantum engine with high output power or efficiency, and the enhancement of charging speed of quantum battery. Our investigation is beneficial to the further understanding of quantum coherence in quantum thermodynamic regime.