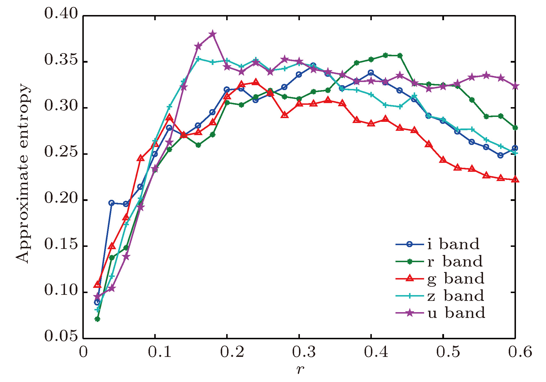
Variability is one of the most important observational features of quasars, and it is still not clear that the different quasars show different characteristic variability patterns. The optical variability of quasar is very complex, and optical variability has the non-linear characteristic of complex system. In this paper, the approximate entropy method is employed to analyze the complexities of variability in the Sloan digital sky survey (SDSS) stripe 82 quasars. Firstly, in order to show that the approximate entropy method has the effective ability to distinguish the different types of time sequences, the approximate entropy of periodic sequence, noise sequence, chaotic sequence and their mixed sequences are calculated by using the analog signals. The approximate entropy method proves to be an effective method to identify different types of time sequences. Then, we present the approximate entropy of optical variability of spectroscopically-confirmed quasars from the SDSS data release 7 spectroscopic catalog, and their complexities are analyzed. The results show that the maximum approximate entropy of quasars’ optical variability is only 0.58. The complexity of quasars’ optical variability is between the complexities of periodic sequence and white noise sequence. For nearly half of the samples, the complexities of their optical variability are basically consistent with the complexity of chaotic sequence. Quasars’ optical variability is neither completely periodic nor completely stochastic.