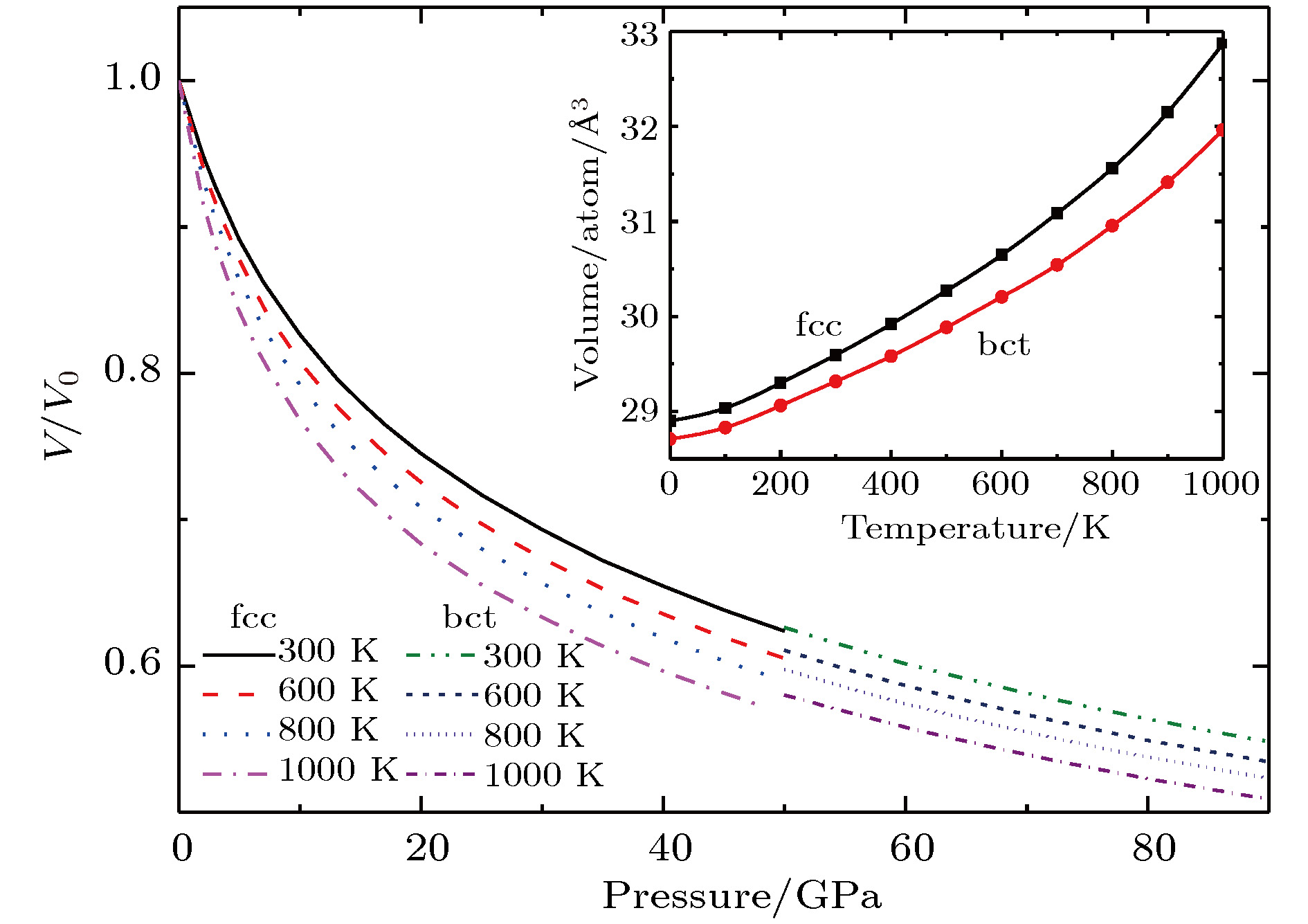
The lanthanide and actinide metals and alloys are of great interest in experimental and theoretical high-pressure research, because of the unique behavior of the f electrons under pressure and their delocalization and participation in bonding. Cerium (Ce) metal is the first lanthanide element with a 4f electron. It has a very complex phase diagram and displays intriguing physical and chemical properties. In addition, it is expected to be an excellent surrogate candidate for plutonium (Pu), one of the radioactive transuranic actinides with a 5f electron. The bulk properties and phase transformation characteristics of Ce-based alloys are similar to those of Pu and its compounds. Thus, the investigations of Ce-based alloys are necessary and can potentially advance the understanding of the behavior of Pu. In this work, the equation of state, phase transition, elastic and thermodynamic properties of Ce
0.8La
0.1Th
0.1alloy at high pressure are investigated by using first-principles calculations based on the density-functional theory. The structural properties of the Ce
0.8La
0.1Th
0.1alloy are in good agreement with the available experimental and theoretical data. The lattice constant
adecreases with pressure increasing, while
cshows an opposite variation. It is found that the lattice parameter
cshows abnormal jump. And the critical volume is located at 20.1 Å
3. The axial ratio jumps from a value of about
$\sqrt 2 $
(corresponding to the fcc structure) to a higher value, which indicates that the fcc-bct transition occurs. And the corresponding transition pressure is located at ~31.6 GPa. When the pressure rises to 34.9 GPa, the bct structure displays a saturated
c/aaxial ratio close to about 1.67. The Young's modulus
E, shear modulus
Gand the Debye temperature of the fcc phase tend to be " softened” around the phase transition pressure. The vibrational free energy is obtained by using the quasi-harmonic Debye model. And then the thermodynamic properties including the thermal equation of state, heat capacity and entropy under high pressure and high temperature are also predicted successfully. The results show that the heat capacity and entropy increase rapidly with temperature increasing, and decrease with pressure increasing. The high pressure can suppress part of the anharmonicity caused by temperature.