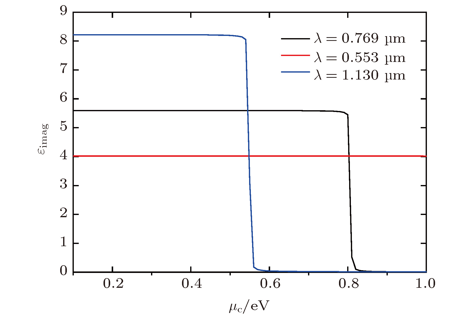
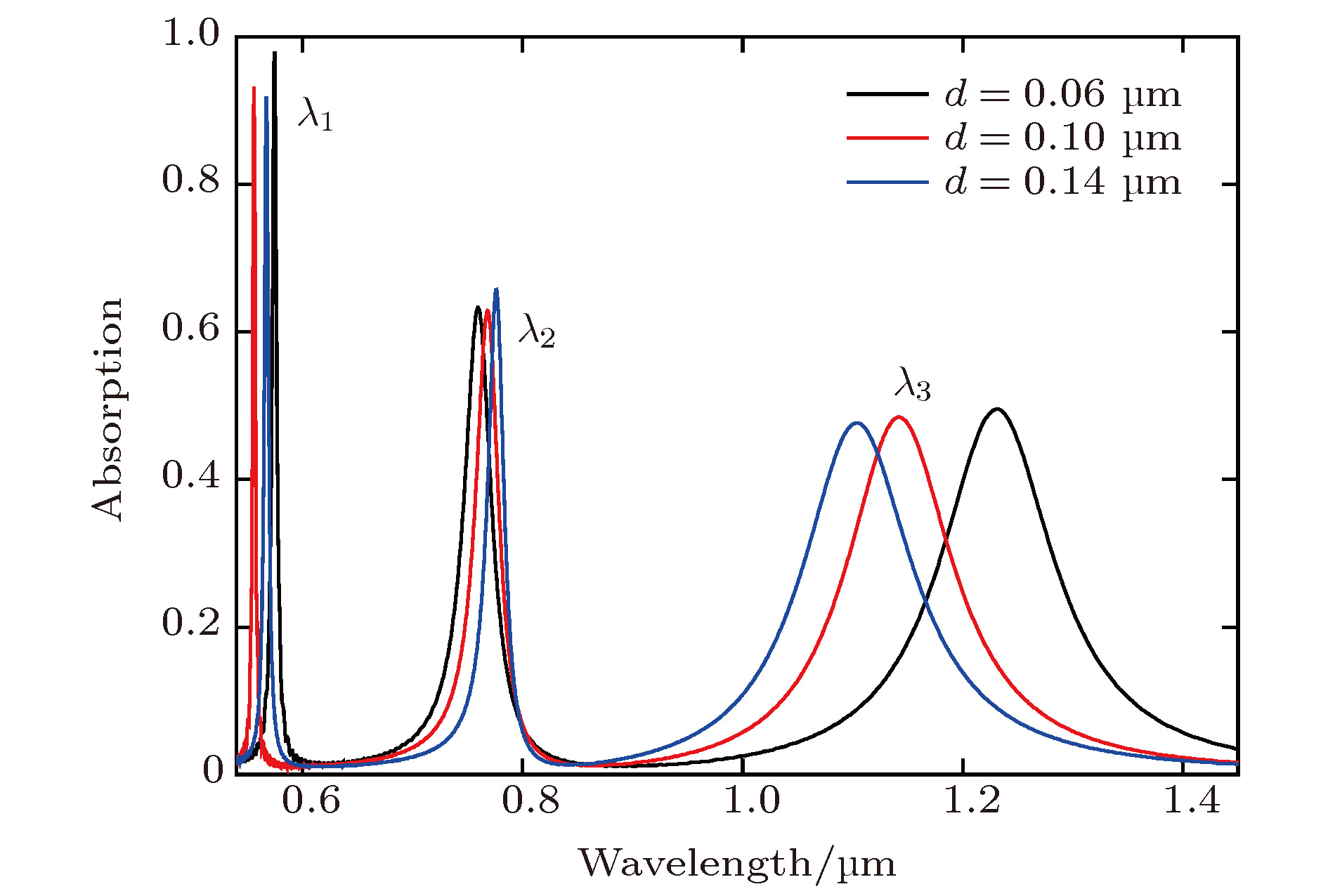
As an emerging new material, graphene has aroused the great research interest. How to improve its absorption efficiency is one of the hot research topics. However, currently most of the studies concentrate in THz band or middle-to-far-infrared region: the research in the visible and near-infrared regions is rare, which greatly limits the applications of graphene in opto-electric fields. In order to improve the absorption efficiency of single-layered graphene in visible and near-infrared band and realize multi-channel optical absorption enhancement, we propose a hybrid structure consisting of graphene-metal grating-dielectric layer-metal substrate. The proposed structure can realize three-channel light absorption enhancement at wavelengths λ
1= 0.553 μm, λ
2= 0.769 μm, and λ
3= 1.130 μm. The maximum absorption efficiency of graphene is 41%, which is 17.82 times that of single-layered graphene. The magnetic field distributions of the hybrid structure at three resonance wavelengths are calculated respectively. It can be found that for the resonance peak λ
1, the energy of light field is distributed mainly on the surface of metal grating, which is the characteristic of surface plasmon polariton (SPP) resonance. Therefore, it can be judged that the enhancement of graphene absorption in this channel is due to the SPP resonance stimulated by metal grating. For the resonance peak λ
2, the energy of the optical field is mainly confined into the metal grating groove, which is the remarkable resonance characteristic of the Fabry-Pérot (FP) cavity, it can be concluded that the enhancement of the optical absorption of graphene at the resonance peak λ
2is due to the resonance of the FP cavity. When the resonance peak is λ
3, the energy of the light field mainly concentrates on the upper and lower edges of the metal grating and permeates into the SiO
2layer, and it can be observed that there are energy concentration points (reddish) at the left end and the right end of the metal grating edge, which is a typical magnetic polariton (MP) resonance feature. Therefore, the enhancement of absorption of graphene at the resonance peak λ
3is caused by the MP resonance induced by the metal grating. We also analyze the absorption characteristic (resonance wavelength and absorption efficiency) dependence on structure parameters by using the finite-difference time-domain (FDTD) simulation. Our study reveals that by increasing grating width, all the three resonance wavelengths are red-shifted, and the absorption efficiency at λ
2and λ
3are both enhanced whereas the absorption efficiency at λ
1almost keeps unchanged. By increasing dielectric layer thickness, λ
2will be red-shifted and λ
3will be blue-shifted, whereas the absorption efficiency at the three resonance wavelengths all remain constant. By increasing graphene chemical potential, none of the wavelengths of the three absorption peaks is shifted, and the absorption efficiency at λ
3decreases. According to our findings, we optimize structure parameters and achieve the light absorption efficiency larger than 97% at the three channels simultaneously, which can make metamaterial absorbers.