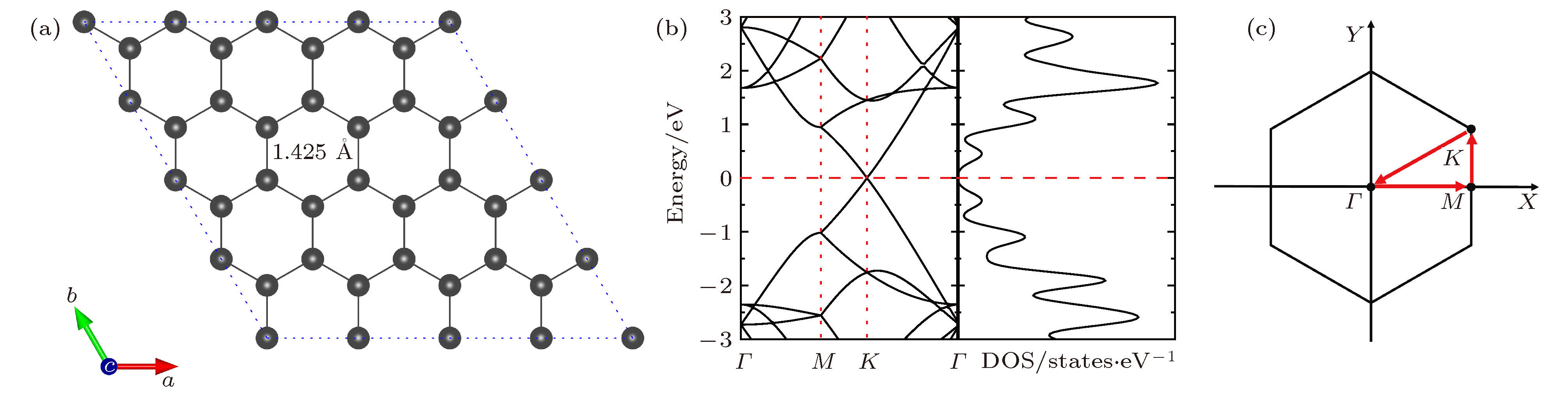
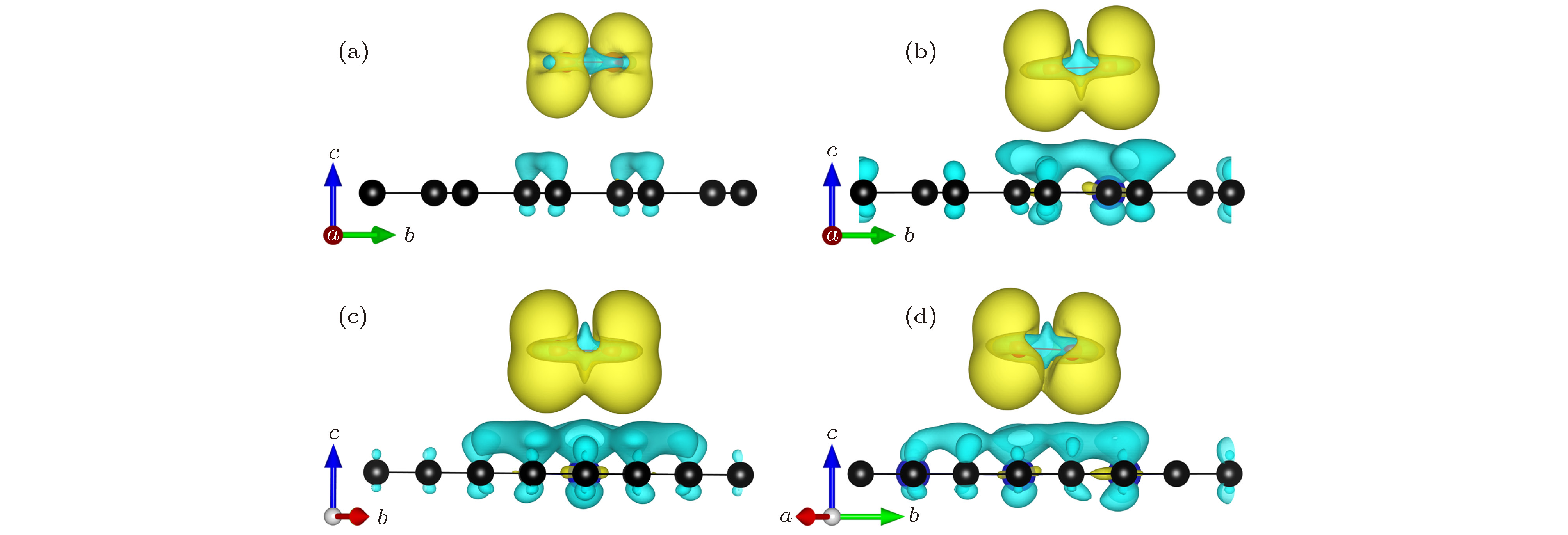
\begin{document}$ \approx$\end{document} 3500 W·h·kg–1), and is an ideal next-generation energy storage system. The ideal operation of lithium-oxygen batteries is based on the electrochemical formation (discharge) and decomposition (charge) of lithium peroxide (Li2O2). At the beginning of the discharge, oxygen is reduced on the electrode, forming an oxygen radical (\begin{document}${\rm O}^{-}_{2} $\end{document}). The \begin{document}$ {\rm O}^{-}_{2}$\end{document} successively combines with an Li ion, forming the metastable LiO2. The LiO2 may subsequently undergo two different reaction pathways: a chemical disproportionation and a continuous electrochemical reduction, thereby resulting in the formation of Li2O2. Therefore, the oxygen reduction reaction (ORR) is an important step in the discharge process. Studies have shown that graphene is considered as the most promising cathode material for non-aqueous lithium-oxygen batteries. Moreover, it is found that nitrogen-doped graphene has higher electrocatalytic activity than intrinsic graphene for the ORR. However, up to now, the mechanism of improving the ORR for nitrogen-doped graphene is still unclear, and the effects of different N-doping concentrations on the ORR have not been reported. In this work, on the basis of the first-principles calculations, the reduction mechanism of O2 molecule by nitrogen-doped graphene with different N concentrations is studied. Results show that after doping N atoms, the adsorption energy of O2 molecules increases, the O—O bond length is elongated, and the transferred charge increases, which indicates that nitrogen-doped graphene enhances the reduction ability of O2 molecule. Bader charge analysis shows that both N atom and O2 molecule obtain charges from C atom, and N atom also provides charges for O2 molecule, which is consistent with the electronegativity of carbon, nitrogen and oxygen. This charge transfer results in the stronger interaction between the O2 molecule and the substrate, and can reveal the reason why nitrogen-doped graphene can improve the ORR. In addition, it is found that the reduction ability of O2 molecule is best when the N-doping ratio is 3.13 at%. It is hoped that this work will play a guiding role in the synthesizing the nitrogen-doped graphene materials, and will be helpful in optimizing the cathode materials of lithium-oxygen batteries."> - 必威体育下载

Search

Article

x

留言板

姓名
邮箱
手机号码
标题
留言内容
验证码

downloadPDF
Citation:

    Hou Bin-Peng, Gan Zuo-Liang, Lei Xue-Ling, Zhong Shu-Ying, Xu Bo, Ouyang Chu-Ying
    PDF
    HTML
    Get Citation
    Metrics
    • Abstract views:10382
    • PDF Downloads:144
    • Cited By:0
    Publishing process
    • Received Date:01 February 2019
    • Accepted Date:11 April 2019
    • Available Online:01 June 2019
    • Published Online:20 June 2019

      返回文章
      返回