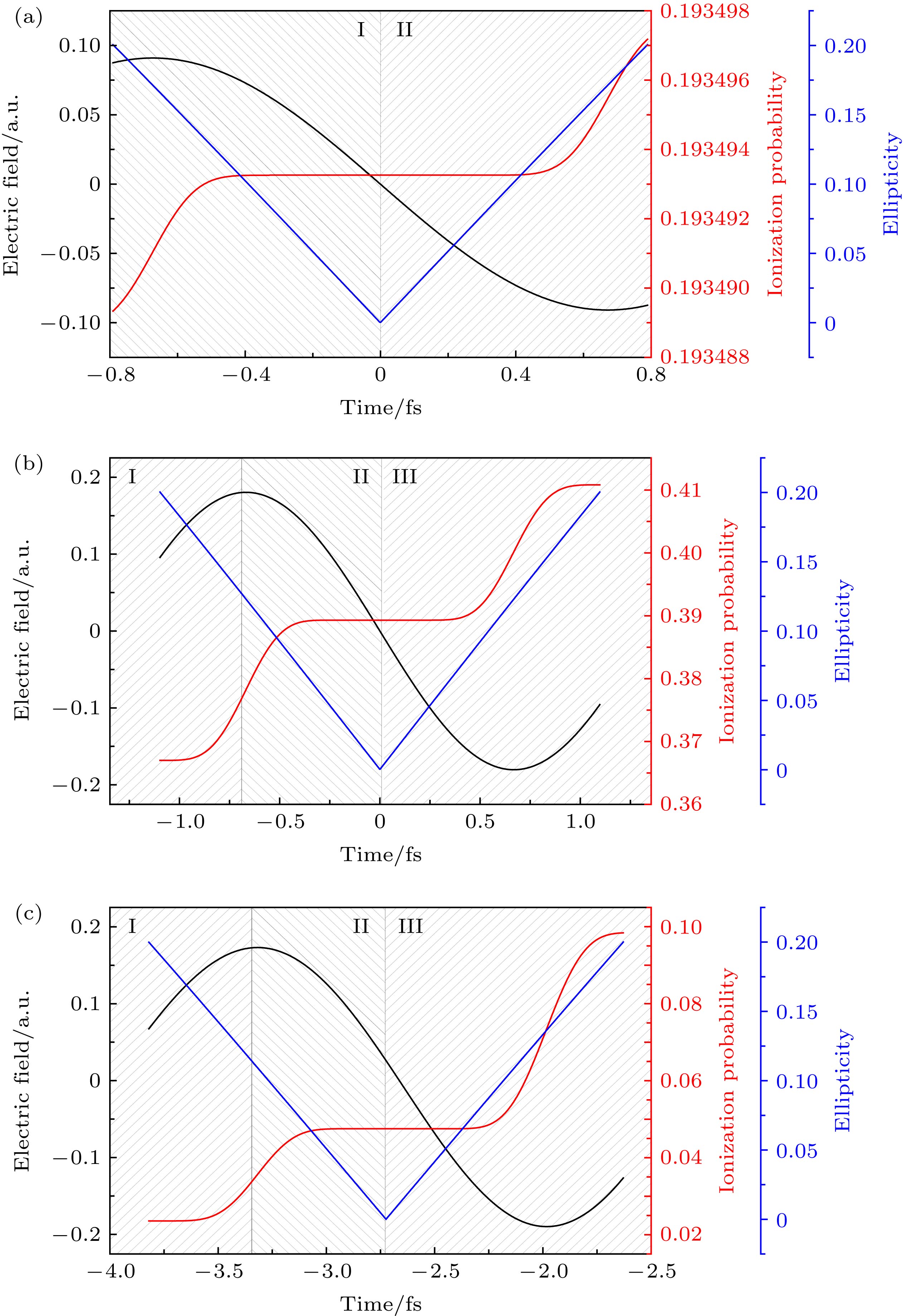
Isolated attosecond pulses make it possible to study and control the ultrafast electron processes in atoms and molecules. High order harmonic generation (HHG) is the most promising way to generate such pulses, which is benefited from the broad plateau structure of the typical HHG spectrum. In previous HHG studies on the polarization gating pulse with longer pulse duration, one needs to dramatically increase the separation in time between the two counter-rotating circularly-polarized pulses to generate the nearly-linear half-cycle " polarization gate”. This leads to a low harmonic conversion efficiency because the field outside the polarization gate is much stronger than inside the polarization gate. In this paper, by using Lewenstein model, we theoretically simulate the high-order harmonic generation from helium atom subjected to the polarization gating pulse with 10 fs pulse duration. It is found that high-order harmonic spectra each with a higher efficiency and regular structure can still be obtained by reasonably adjusting the delay time ratio and the amplitude ratio of electric fields between the two counter-rotating pulses. Further, a single 175 as pulse in the time domain is obtained by Fourier transforming the 80th order harmonics into the 172nd order harmonic without compensating for the harmonic chirp. This scheme has two main advantages. First, the adjustment of the polarization gate width from half optical cycle into nearly one cycle ensures higher intensity of the synthesized electric field inside the polarization gate. Second, the suitable adjustment of the amplitude ratio between two electric fields ensures the low ionization probability before the polarization gate, and thus further fulfills the harmonic phase matching condition in the process of the propagation.