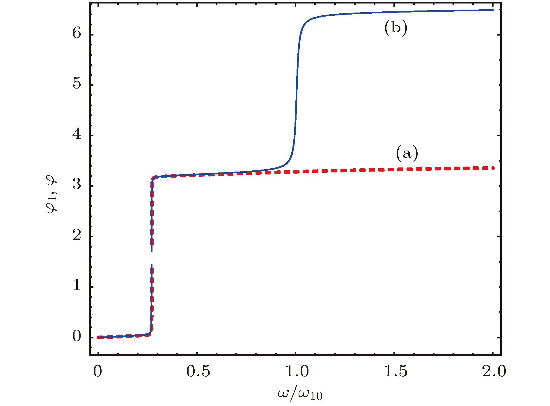
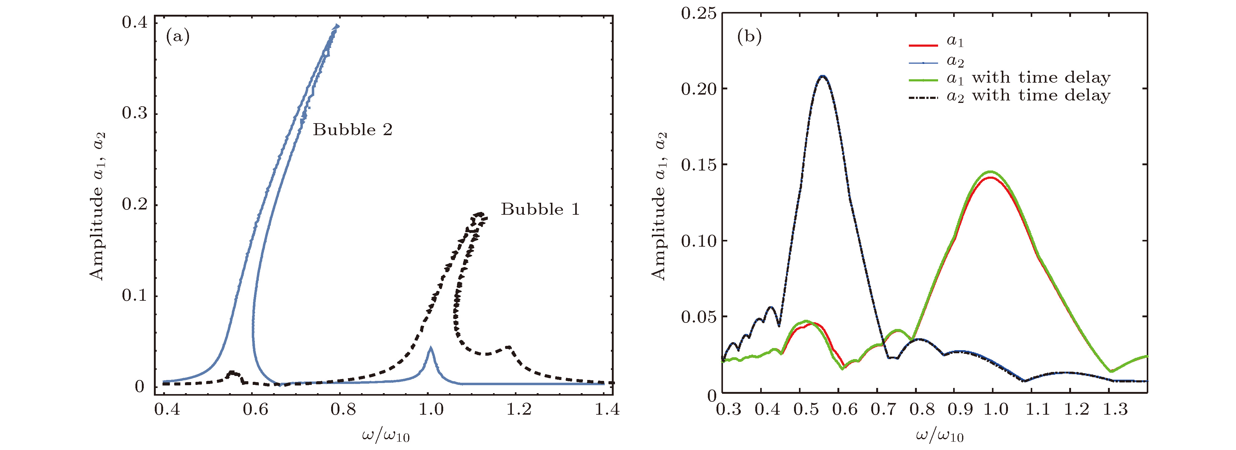
It is of great importance to investigate the dynamics of the multiple bubble system for revealing the mechanism of cavitation. Because of the secondary radiation of the oscillating bubbles, the coupled vibration of neighboring bubbles arises. Previous studies have reported that time delays appear to be more important when the coupled bubbles are close to each other. In this paper, we investigate the acoustical response of two bubble oscillators theoretically and numerically. Firstly, we modify the dynamic model equation by use of Taylor series being accurate up to terms of second order in radial displacement of bubbles. Based on the perturbation theory, the eigenmodes of the coupled-bubble system are analyzed, and two different resonant frequencies are obtained. Secondly, the effects of time delays on the coupled oscillation are analyzed numerically by use of phase diagram. When bubbles are driven by low-intensity ultrasound, we can neglect the effect of the time delay for the coupled-bubble system. Thirdly, the theoretical and numerical curve of amplitude versus frequency are compared with each other. There are two peaks on each curve on which present are two resonant regions. The relative position of the resonant peaks of the two bubbles in each region is similar for the two analytical methods. Finally, the effect of equivalent radius of bubble, equivalent radius ratio, bubble center distance, and driving pressure amplitude on the radial motion are numerically explored. With the increase of the intensity of the acoustic wave, the resonant peaks shift toward the low-frequency region. The coupled oscillation of the two bubbles of different radii could be intensified when these conditions are satisfied, such as resonant driving, equal radius, and the range of center distance smaller than 10
R
10. We can observe a transition phenomenon and out-of-phase fluctuation of the bubble oscillation in the strong coupling region. Therefore, bubbles play an important role of energy translator in the ultrasound applications.