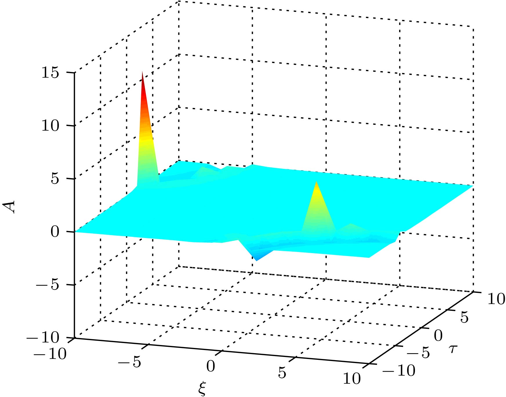
In recent years, the dust plasma research plays an important role in the field of space, industry, and laboratory. In this paper, starting from the control equations of the double temperature dust plasma, we derive the (2+1)-dimensional Kadomtsev-Petviashvili (KP) equation to describe the double temperature dust plasma sound waves by using the multi-scale analysis, and reduce it by using the perturbation method. Then by using the semi inverse method and fractional variational principle, the (2+1)-dimensional KP equation is introduced into the time-space fractional KP equation (TFS-KP). The fractional KP equation has potential applications in describing physical phenomena in practical problems. Furthermore, based on the symmetrical analysis method, by which lie discussed the time fractional KP (TF-KP) equation of the conservation law, the dual temperature dust plasma acoustic conserves quantity. Finally, based on the bilinear method, the lump solution of fractional KP equation is obtained. The existence of this solution indicates the rogue waves existing in double temperature dusty plasma. The influence of fractional order on rogue wave is also analyzed.