| [1] |
Shen Shuang-Lin, Zhang Xiao-Kun, Wan Xing-Wen, Zheng Ke-Qing, Ling Yi-Han, Wang Shao-Rong.Study on extremely high temperature gradient at entrance of solid oxide fuel cell by preheating model. Acta Physica Sinica, 2022, 71(16): 164401.doi:10.7498/aps.71.20220031 |
| [2] |
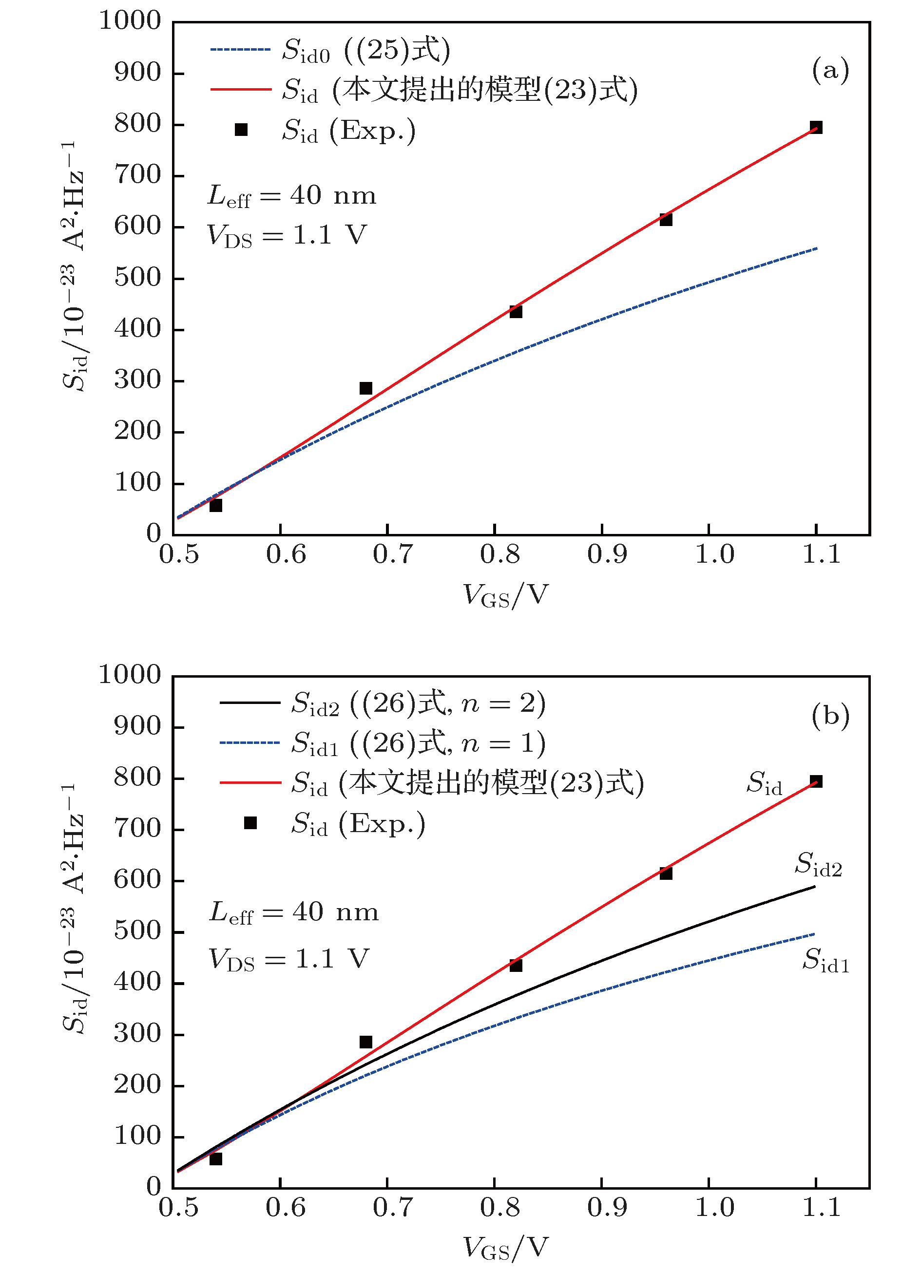
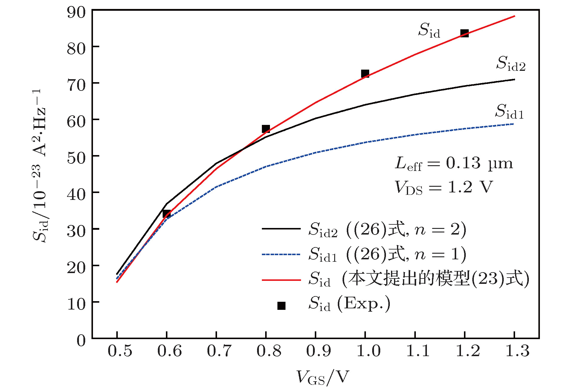
Zhang Meng, Yao Ruo-He, Liu Yu-Rong, Geng Kui-Wei.Shot noise model of the short channel metal-oxide-semiconductor field-effect transistor. Acta Physica Sinica, 2020, 69(17): 177102.doi:10.7498/aps.69.20200497 |
| [3] |
He Yu-Juan, Zhang Xiao-Wen, Liu Yuan.Total dose dependence of hot carrier injection effect in the n-channel metal oxide semiconductor devices. Acta Physica Sinica, 2016, 65(24): 246101.doi:10.7498/aps.65.246101 |
| [4] |
Liu Chen, Sun Hong-Xiang, Yuan Shou-Qi, Xia Jian-Ping.Broadband acoustic focusing effect based on temperature gradient distribution. Acta Physica Sinica, 2016, 65(4): 044303.doi:10.7498/aps.65.044303 |
| [5] |
Gao Qi, Zhang Chuan-Fei, Zhou Lin, Li Zheng-Hong, Wu Ze-Qing, Lei Yu, Zhang Chun-Lai, Zu Xiao-Tao.Separating the Z-pinch plasma X-ray radiation and attaining the electron temperature. Acta Physica Sinica, 2014, 63(9): 095201.doi:10.7498/aps.63.095201 |
| [6] |
Duan Ping, Cao An-Ning, Shen Hong-Juan, Zhou Xin-Wei, Qin Hai-Juan, Liu Jin-Yuan, Qing Shao-Wei.Effect of electron temperature on the characteristics of plasma sheath in Hall thruster. Acta Physica Sinica, 2013, 62(20): 205205.doi:10.7498/aps.62.205205 |
| [7] |
Cui Jiang-Wei, Yu Xue-Feng, Ren Di-Yuan, Lu Jian.The influence of channel size on total dose irradiation and hot-carrier effects of sub-micro NMOSFET. Acta Physica Sinica, 2012, 61(2): 026102.doi:10.7498/aps.61.026102 |
| [8] |
Meng Shi-Jian, Li Zheng-Hong, Qin Yi, Ye Fan, Xu Rong-Kun.X-ray continuum spectra for diagnosing plasma temperaturein aluminum wire array Z-pinches. Acta Physica Sinica, 2011, 60(4): 045211.doi:10.7498/aps.60.045211 |
| [9] |
Meng Guang-Wei, Li Jing-Hong, Pei Wen-Bing, Li Shuang-Gui, Zhang Wei-Yan.Effect of temperature gradient on the non-equilibrium rate of flux emitted by plane gold wall. Acta Physica Sinica, 2011, 60(2): 025210.doi:10.7498/aps.60.025210 |
| [10] |
Chen Xi, Wang Xia, Wu Kai, Peng Zong-Ren, Cheng Yong-Hong.Effect of temperature gradient on space charge waveform in pulsed electroacoustic method. Acta Physica Sinica, 2010, 59(10): 7327-7332.doi:10.7498/aps.59.7327 |
| [11] |
Zhu Zhang-Ming, Zhong Bo, Hao Bao-Tian, Yang Yin-Tang.A novel temperature-aware distributed interconnect power model. Acta Physica Sinica, 2009, 58(10): 7124-7129.doi:10.7498/aps.58.7124 |
| [12] |
Cao Shi-Ying, Song Zhen-Ming, Qin Yu, Wang Qing-Yue, Zhang Zhi-Gang.Difference in filament and spectrum broadening induced by femtosecond pulses in argon gas with a temperature gradient at different positions. Acta Physica Sinica, 2009, 58(6): 3971-3976.doi:10.7498/aps.58.3971 |
| [13] |
Zhou Gui-Yao, Hou Zhi-Yun, Li Shu-Guang, Han Ying, Hou Lan-Tian.Analysis of the shrinkage in size of air holes in different sections during the fabrication of microstructured fibre. Acta Physica Sinica, 2007, 56(11): 6486-6489.doi:10.7498/aps.56.6486 |
| [14] |
Guo Qing-Lin, Zhou Yu-Long, Zhang Bo, Zhang Qiu-Lin, Zhang Jin-Ping, Huai Su-Fang.Influence of matrices on electron temperature of laser micro-plasma in argon atmosphere at reduced pressure. Acta Physica Sinica, 2007, 56(9): 5318-5322.doi:10.7498/aps.56.5318 |
| [15] |
Chen Zhuo, He Wei, Pu Yi-Kang.Measurement of metastable state densities and electron temperatures in an electron cyclotron resonance argon plasma. Acta Physica Sinica, 2005, 54(5): 2153-2157.doi:10.7498/aps.54.2153 |
| [16] |
Huang Song, Ning Zhao-Yuan, Xin Yu, Gan Zhao-Qiang.Characteristics of two-electron-temperature in inductively coupled CF4 plasmas. Acta Physica Sinica, 2004, 53(10): 3394-3397.doi:10.7498/aps.53.3394 |
| [17] |
Yang Jia-Min, Ding Yao-Nan, Chen Bo, Zheng Zhi-Jian, Yang Guo-Hong, Zhang Bao-Han, Wang Yao-Mei, Zhang Wen-Hai.Electron temperature measurement of low-energy laser produced plasma using iso-electronic x-ray spectroscopy. Acta Physica Sinica, 2003, 52(2): 411-414.doi:10.7498/aps.52.411 |
| [18] |
CHEN BO, ZHENG ZHI-JIAN, DING YONG-KUN, LI SAN-WEI, WANG YAO-MEI.DETERMINATION OF ELECTRON TEMPERATURE IN LASER-PRODUCED PLASMAS BY ISOELECTRONIC XRAY SPECTROSCOPY. Acta Physica Sinica, 2001, 50(4): 711-714.doi:10.7498/aps.50.711 |
| [19] |
REN HONG-XIA, HAO YUE, XU DONG-GANG.STUDY ON HOT-CARRIER-EFFECT FOR GROOVED-GATE N-CHANNEL METAL-OXIDE-SEMICONDUCTOR FIELD-EFFECT-TRANSISTOR. Acta Physica Sinica, 2000, 49(7): 1241-1248.doi:10.7498/aps.49.1241 |
| [20] |
REN HONG-XIA, HAO YUE.STUDY ON THE HOT-CARRIER-DEGRADATION MECHANISM AND HOT-CARRIER-EFFECT IMMUNITY I N ADVANCED GROOVED-GATE PMOSFET. Acta Physica Sinica, 2000, 49(9): 1683-1688.doi:10.7498/aps.49.1683 |