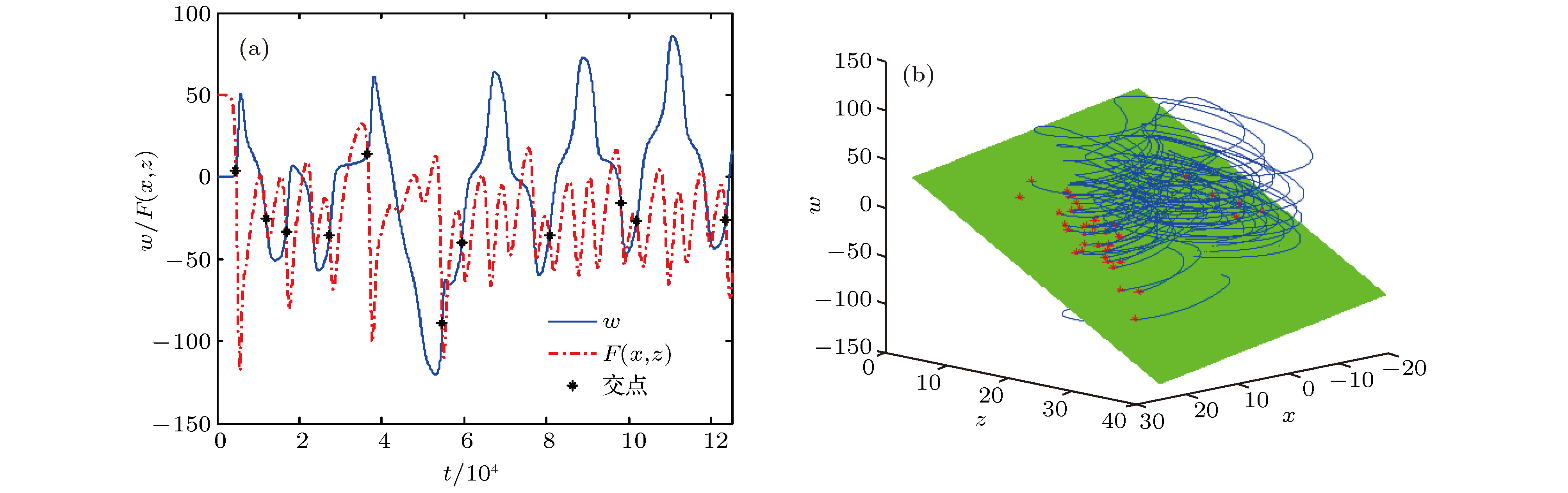
Poincare section is an important method for analyzing nonlinear systems. Choosing a suitable plane as the Poincare section is the key to using the Poincare section to analyze a nonlinear system. At present, it is still a difficult problem to select a suitable Poincare section when analyzing a nonlinear system. This is caused by two reasons. On the one hand, the classical method for selecting a partial Poincare section only applies to analyze a part of the nonlinear system orbit, whether the selected plane is a suitable Poincare section is affected by the different initial points. On the other hand, according to the actual situation, different researchers have different needs for Poincare section. In order to solve this problem, a new method named Projection Time Domain method is put forward in this paper. This method can help us not only directly reflect the intersection between the nonlinear system orbit and the selected plane, but also accurately adjust the direction and position of the selected plane in real time. It can be used to quickly find a plane which fully intersects the nonlinear system orbit or an arbitrary plane as a Poincare section. In this paper, the complete definition of Projection Time Domain method is given firstly. Then, the principle of Projection Time Domain method is theoretically analyzed in detail. At the same time, the rules for determining whether the selected plane is a suitable Poincare section in the time domain are also studied. Finally, it is introduced how to quantify the direction and position of the selected plane in the phase space. The simulation experiments are conducted with three typical three-dimensional and four-dimensional nonlinear systems by using this new method. The experimental results consistent with the theoretical analysis, which demonstrate the effectiveness and practicability of this method.