The surface dissolution of rock nanopores, caused by the acidic environment, increases the salt concentration of water solution flowing in the nanopores, thereby destroying the surface structure of the rock, which can be found in CO
2geological sequestration and crude oil and shale gas exploration. In this paper, the molecular dynamics method is adopted to study the flow characteristics of water solution in the forsterite (Mg
2SiO
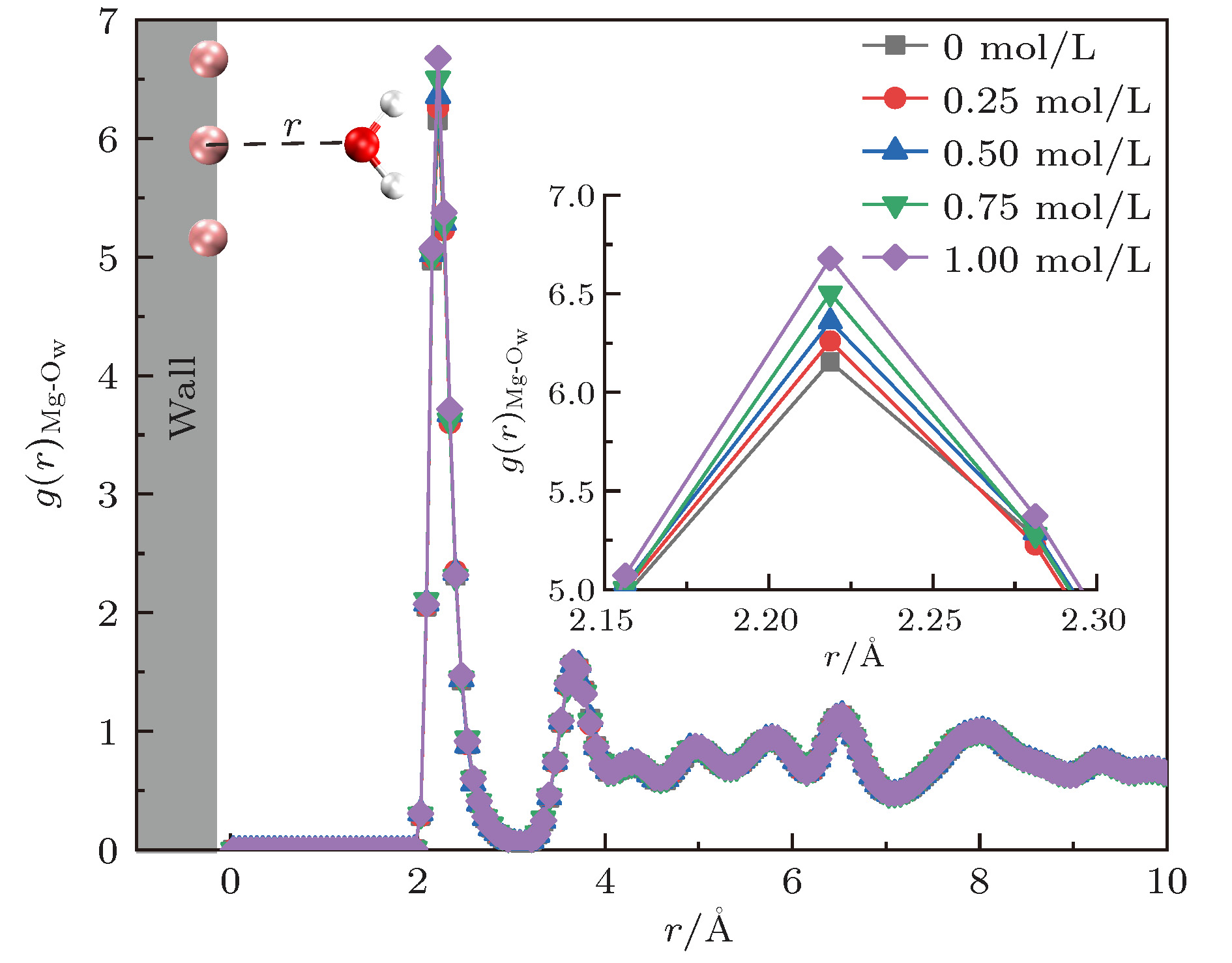
4) slit nanopores, by which the effects of salt concentration and structure destruction of pore surface on the velocity profiles of water solution confined in nanopores are systematically analyzed. The hydrogen bond density, radial distribution function (RDF) and water density distribution are calculated to explain the changes in viscosity, velocity profiles and interaction between water and nanopore surface. The results show that as the salt concentration increases, the water solution flow in the rock nanopore obeys the Hagen-Poiseuille equation, and the velocity profiles of water solution remain parabolic shape. However, the hydrogen bond network among water molecules becomes denser with salt concentration increasing, which can account for the linear increase in the viscosity of water solution. Besides, the higher salt concentration gives rise to the larger water flow resistance from the pore surface. As a result, with the salt concentration increasing, the maximum of water velocity decreases and the curvature radius of the parabolic velocity profile curve becomes bigger. Moreover, the surface structure destruction in rock nanopores changes the roughness of surface in the flow channel, which enhances the attraction of nanopore surface to H
2O. As the structure destruction of nanopore surface deteriorates, the water density near the rough surface moves upward, whereas the velocity of water near the rough surface declines obviously. Interestingly, when the degree of surface structure destruction reaches 50%, a significant negative boundary slipping near the rough surface appears.