The GaInP/GaAs/Ge triple-junction solar cells have been widely used for spacecraft energy sources because of their simple manufacturing process, stable structures, high conversion efficiency, and low cost. The performances of the GaInP/GaAs/Ge triple-junction solar cells show a remarkable degradation after space proton irradiation. At present, the experimental researches of proton irradiation of GaInP/GaAs/Ge triple-junction solar cells with different energy and fluence have been carried out. However, the experimental researches can analyze the proton radiation damage only under the specific energy and fluence, but cannot analyze the proton radiation damage under the complete space energy spectrum. The numerical simulation of triple-junction solar cells can be used to accurately analyze the degradation of major parameters under different energy proton irradiations which cannot be achieved experimentally.
In this paper, the modeling of degradation for GaInP/GaAs/Ge triple-junction solar cells, induced by proton irradiation with different energy is studied by numerical simulation. The energy values include 0.7 MeV, 1 MeV, 3 MeV, 5 MeV, and 10 MeV. The structure of GaInP/GaAs/Ge model and proton irradiation-induced defect model with different energy and fluence are established. The
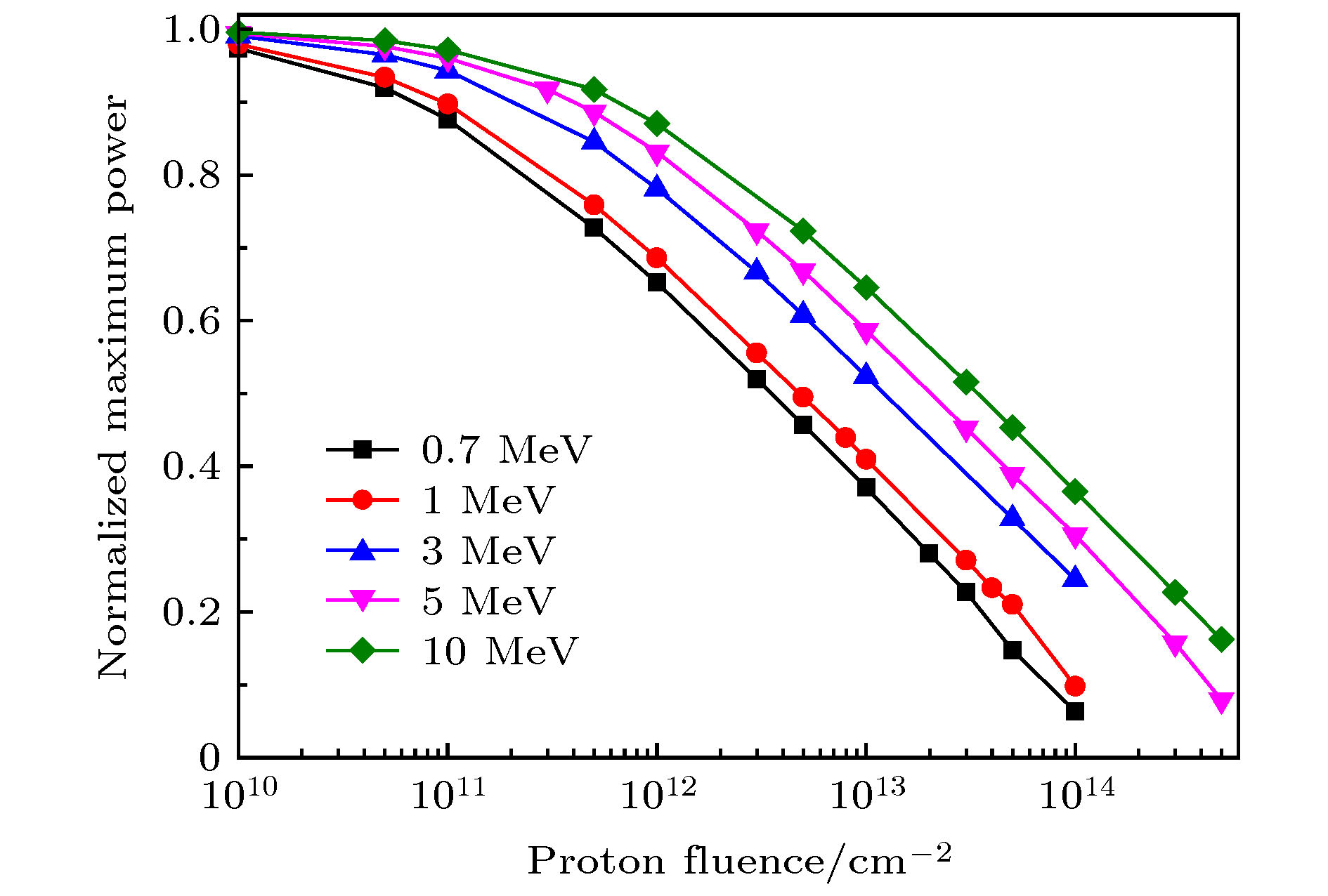
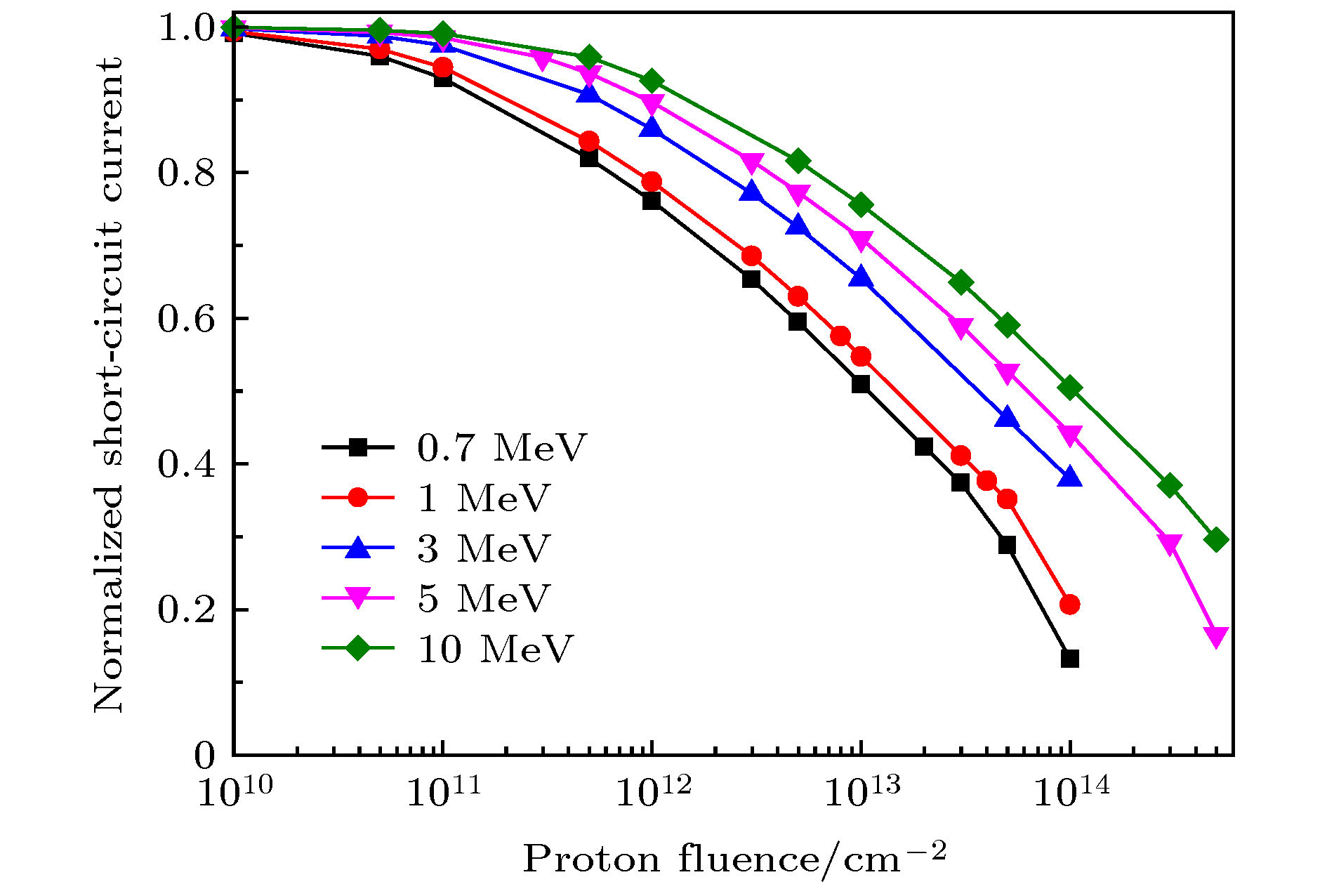
I-Vcurves and spectral response curves under different proton irradiation conditions are obtained. The simulation results are in good agreement with the experimental results. The degradation of major parameters of GaInP/GaAs/Ge triple-junction solar cells, caused by different energy and fluence proton irradiations, is studied, these parameters being the short circuit current, open circuit voltage, minority carrier lifetime, electron current density, external quantum efficiency, and maximum power. The degradation curve of the maximum power with displacement damage dose is obtained by fitting the degradation simulation results under different proton irradiation conditions. Displacement damage defects induced by protons are introduced into triple-junction solar cells, which lead the minority carrier diffusion length to degrade. The degradation increases with the proton energy decreasing. In the meanwhile, it will lead the related electrical parameters to degrade, which increases with the proton energy decreasing. The simulation results show that related electrical parameters decrease with the proton irradiation fluence increasing. Under the same proton irradiation condition, the external quantum efficiency degradation of GaAs sub-cell is larger than that of GaInP sub-cell because the irradiation resistance of GaAs is poor. Among the degradations of spectral response of GaAs sub-cell at different wavelengths, the degradation in the long wave is greater than that in the short wave. It is found that the degradations of GaAs sub-cell related electrical parameters are mainly due to the damage to the base region.