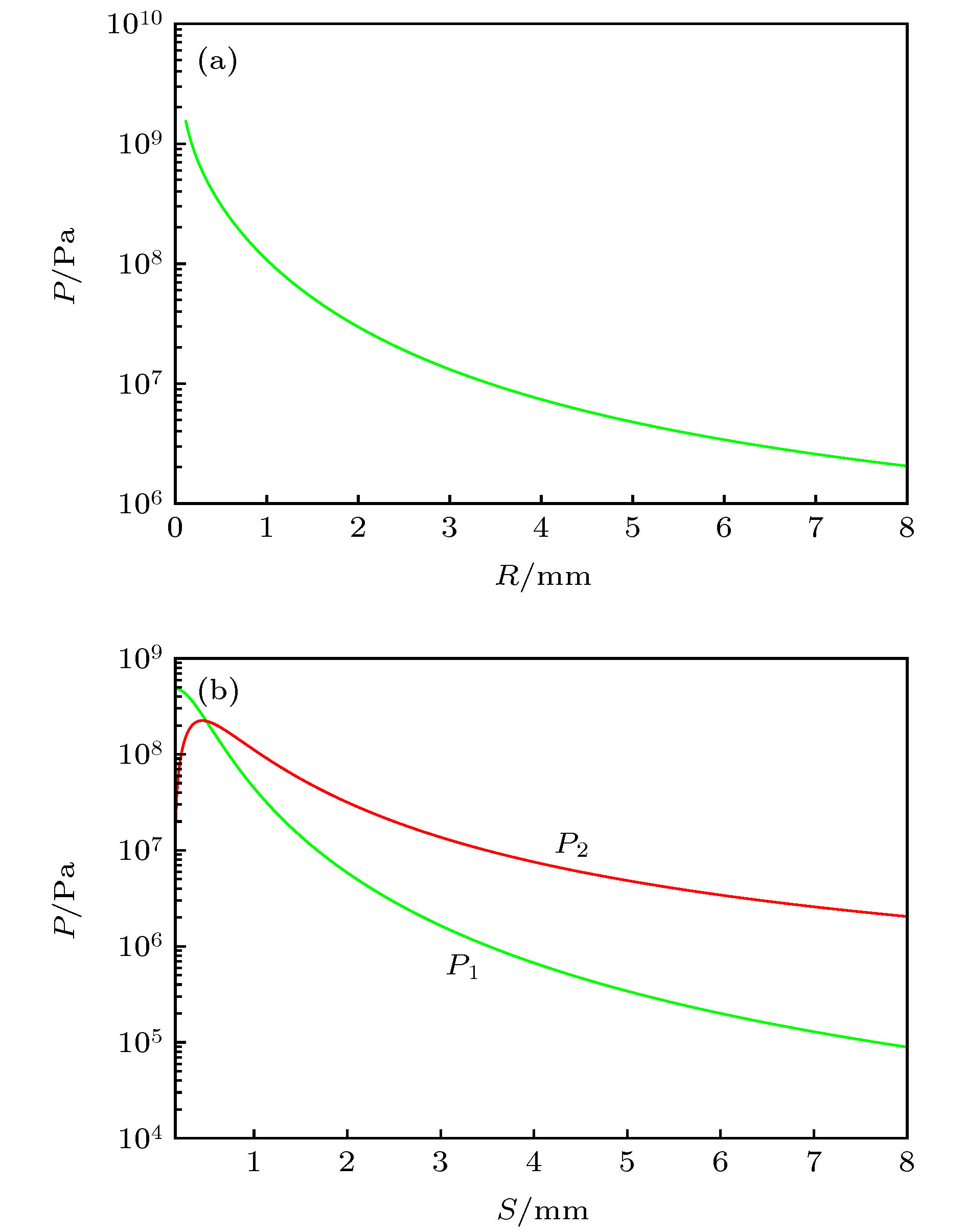
Micro-impurity pollution is always one of the key factors affecting the quality and service life of precision devices. Micro-nano impurity particles are difficult to remove by traditional cleaning methods (ultrasonic cleaning, etc.) and low removal efficiency by laser cleaning methods (dry laser cleaning, etc.). The laser plasma shock wave has high pressure and high temperature characteristics, which can remove nano-scaled impurity particles, and has great potential applications. In this work, we mainly study the thermodynamic effect of the laser plasma in the process of removing micro- and nano-particles. In this work, the Al particles on the Si substrate are removed by laser plasma shock wave, and the transformation of the particle state is discussed through the changes of the experimental sample morphology after different pulse effects. The experimental results show as follows With the increase of the pulse number, the micro- and nano-particle residues gradually decrease. At the same time, on the surface of the sample after these particles are removed, it can be found that large particles break up into small particles, and some of the particles will change into smooth spheres when their temperatures reach the melting point. These phenomena are the result of the interaction of the thermodynamic effect of the plasma. In order to study the transformation process of particle state, based on the plasma shock wave propagation theory, the evolution law of pressure characteristic and temperature characteristic of shock wave are obtained. From the evolution law, it can be seen that with the increase of shock wave radius, the pressure and temperature gradually decrease. When the shock wave propagates to the surface of a sample, it can reach the compression threshold and correspondingly the surface temperature arrives at melting temperature of particles, which are consistent with the experimental results. By using the finite element simulation method, the pressure and temperature of laser plasma shock wave acting on particles are studied. The stress distribution and temperature distribution in particles varying with time are obtained. The analysis results are consistent with the experimental results, and therefore the thermodynamic mechanism of plasma on particles is obtained.