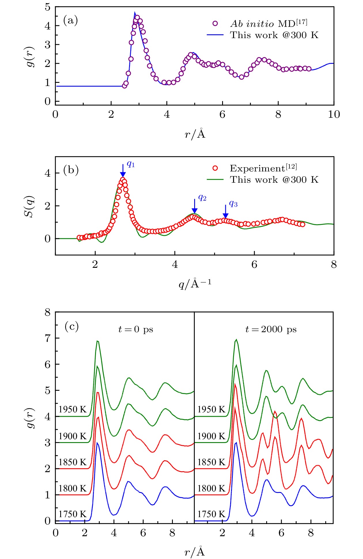
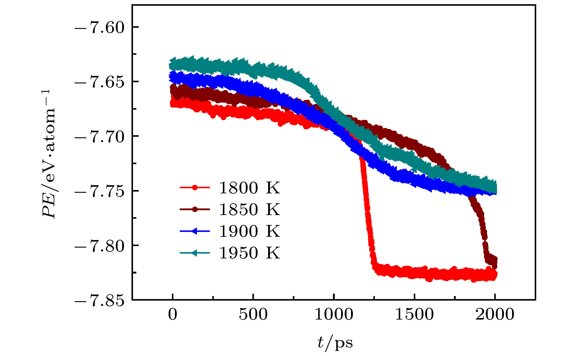
The morphology and physical properties of crystal as well as the glass-forming ability (GFA) of metals are closely related to the evolution pathway of atomic structures in the early stage of nucleation in supercooled liquids. Therefore, the study of the evolution of atomic structures in the isothermal crystallization process of supercooled liquids, is of great significance not only for predicting and accurately controlling the crystal nucleation and growth, but also for understanding the local atomic structural origin of the GFA. In the present work, the atomic-level mechanism for isothermal crystallization in the supercooled liquid tantalum is studied by molecular dynamics (MD) simulation. The microstructural evolution of metal Ta system is characterized and analyzed by using the potential energy per atom (
PE), the pair distribution function (PDF) g(r), and the largest standard cluster (LSC). Two crystallization paths of Ta supercooled liquid can be observed during isothermal relaxations. For each pathway the incubation time of the formation critical nucleus increases with annealing temperature (
T) rising. At 1800 K ≤
T≤ 1850 K, the crystallization of supercooled liquid Ta conforms to the Ostwald's step rule: first, Z12 (i.e. icosahedron) and Z14 (Kasper cluster with 14 coordination number) clusters in supercooled liquids are hinged into medium-range order (i.e., Z-MRO); then the Z-MRO are merged and ordered into A15 crystal phase; finally, BCC crystal nucleus inside of the A15 phase grows rapidly into BCC single crystal at the cost of the atoms in A15 phase. While at 1900 K ≤
T≤ 1950 K, Ta supercooled liquid is directly transformed into A15 phase. The A15 crystal phase is mainly formed by the continuous merging of the largest Z-MRO with the small Z-MRO, which is similar to the picture of the classical nucleation theory (CNT). However, whether the phase transition from A15 to BCC will occur above 1900 K remains to be further confirmed by a longer-time MD simulation. Relative to the supercooled liquids of monoatomic metals with lower melting point, the good GFA of Ta may originate from the slowly growing A15 crystal nucleus in its supercooled liquid.