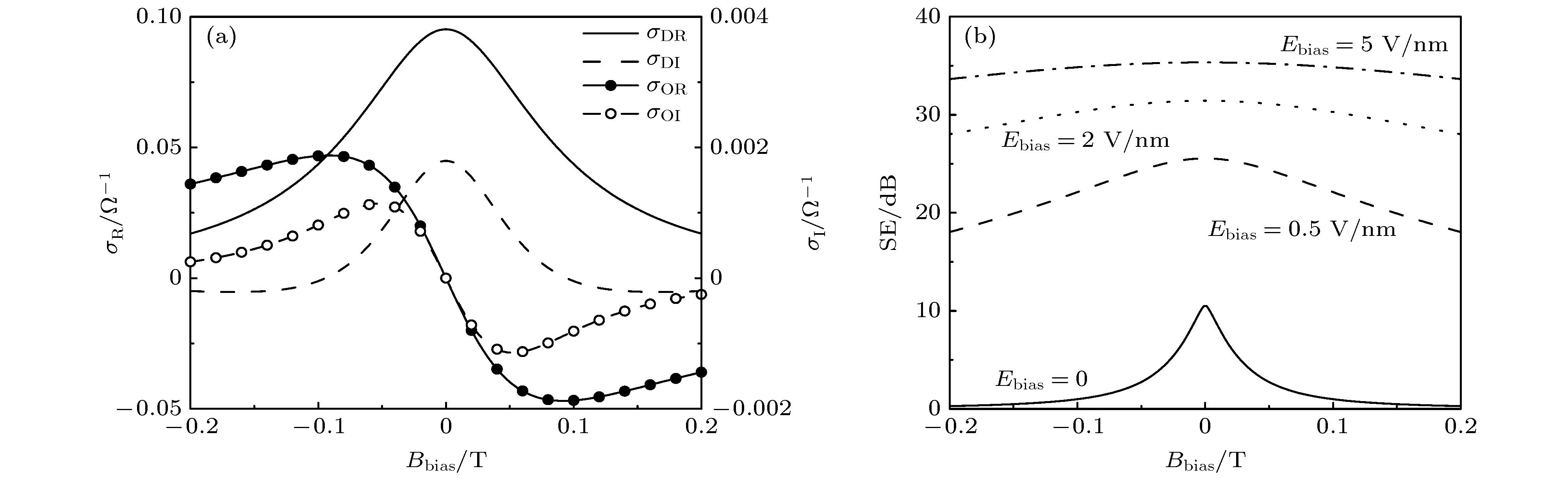
The reflection and transmission of plane electromagnetic waves on monolayer graphene are studied theoretically in this paper. From an electromagnetic point of view, monolayer graphene is described as an “infinitely thin” graphene sheet characterized by a surface conductivity, and based on a microscopic quantum dynamical approach, the graphene sheet becomes anisotropic in the presence of both an electrostatic and a magnetic bias. In this work, starting from boundary conditions and phase-matching conditions, the propagation matrix for the analysis of the interaction between an electromagnetic field and thin graphene sheet which is biased electrostatically and magnetostatically, and then characterized by an anisotropic conductivity, is derived. Furthermore, the analytical solutions of co- and cross-polarization reflective and transmittance coefficients through an anisotropic graphene planar surface are obtained from the proposal matrix above, which couples the fundamental transverse electric (TE) polarization and transverse magnetic (TM) polarization and includes the possible effects of electrostatic and/or magnetostatic bias. In conclusion, the cross-polarization reflective coefficient of TE wave and that of TM wave are equal, and their cross-polarization transmittance coefficients have opposite phase. Finally, a new propagation matrix for stratified medium containing anisotropic graphene interfaces is deduced by embedding the matrix across graphene sheet mentioned above into the traditional propagation matrix for isotropic stratified medium. The proposed new matrix can be used to investigate the propagation properties of plane wave in a complex structure of layered medium and anisotropic conductivity interfaces (including graphene sheet) analytically and quickly, and represents a very simple tool for the relevant analysis and design.