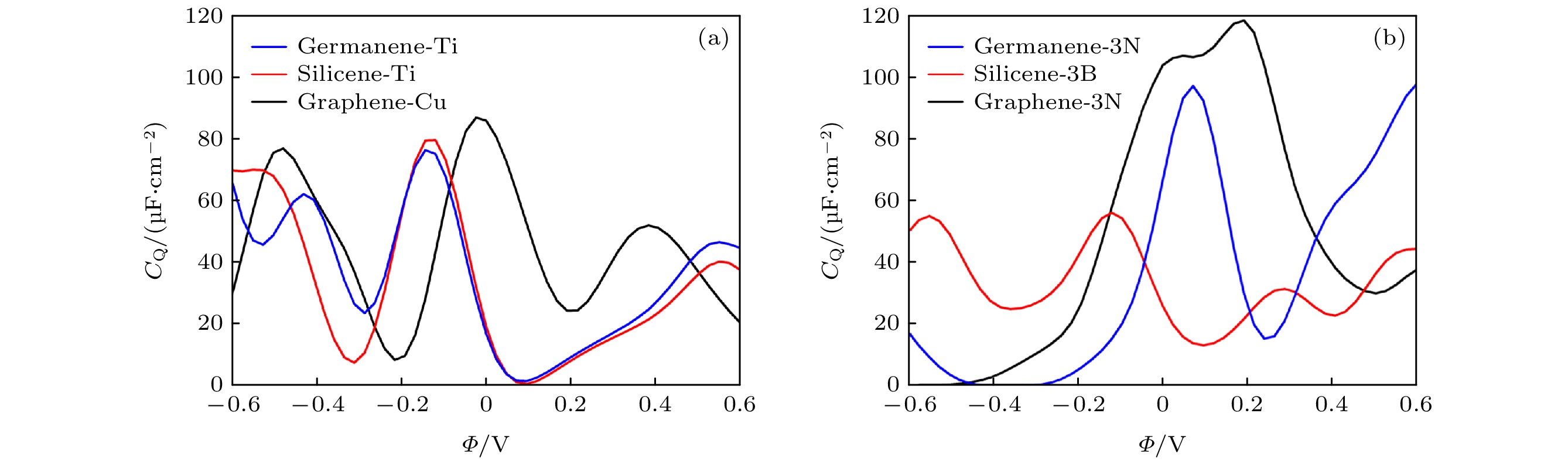
Double electric layer capacitor is a kind of supercapacitor with high power density, but has relatively low energy density. Improving the quantum capacitances of materials will be a new way to increase their total interface capacitances. We design a two-dimensional electrode material with a high specific capacity and stable crystal structure. Due to the quantum confinement effect and the density of states, the quantum capacitances of two-dimensional materials such as graphene and silicene approach to zero when they are near the Fermi level. On the basis of the first principles of density functional theory, doping and adsorption can effectively modulate the electronic structure of two-dimensional electrode material such as graphene. It promotes the formation of the local state of the electrode material near the Dirac point and/or the movement of the Fermi level, thereby improving the quantum capacitance. Compared with the quantum capacitance of Ti (Au, Ag, Cu, Al), and 3-B (N, P, S) doped single-vacancy graphene (silicene, germanene), the quantum capacitance of 3-N doped single-vacancy graphene and of Ti atom adsorbed single-vacancy silicene/germanene are both significantly improved, and their quantum capacitances are as high as 118.42 μF/cm
2, 79.84 μF/cm
2, and 76.54 μF/cm
2. The concentration effects of 3N-doped three kinds of alkenes are studied, and the results show that the quantum capacitance is enhanced with the doping concentration increasing. It is also found by studying the thermodynamic stability of the doped systems that Ti is the most stable adsorbed atom because of the strong bond between Ti atom and C atom. The S is the most stable doping atom in B, N, P, S doped single-vacancy silicene and germanene. For graphene, N doping has the lowest formation energy and the best quantum capacitance. This study intends to clarify the controversy regarding the energy storage enhancement of two-dimensional double-layer supercapacitor materials, and to improve the quantum capacitance. The research results provide the guidance for understanding the quantum effects caused by optimizing the structure of two-dimensional electrode material. The above theoretical calculation of the mentioned two-dimensional electrode material provides some research ideas for improving the low energy density of electric double-layer supercapacitors.