Relaxor ferroelectric is a very special type of ferroelectric material, which has important applications in communication, sensor, ultrasound, energy conversion, and aerospace industry. Unlike normal ferroelectric, a relaxor undergoes a diffuse phase transition in the cooling process, and its macroscopic polarization does not occur suddenly, but polar nano region appears while the macro-symmetry does not change significantly. As the transition from the paraelecric to the ferroelectric phase is a gradual process with a broad dielectric peak, relaxor ferroelectric has no definite Curie temperature (
T
C), and the temperature corresponding to the maximum dielectric constant (
T
m) and the Burns temperature (
T
B) are often used as their characteristic temperatures.
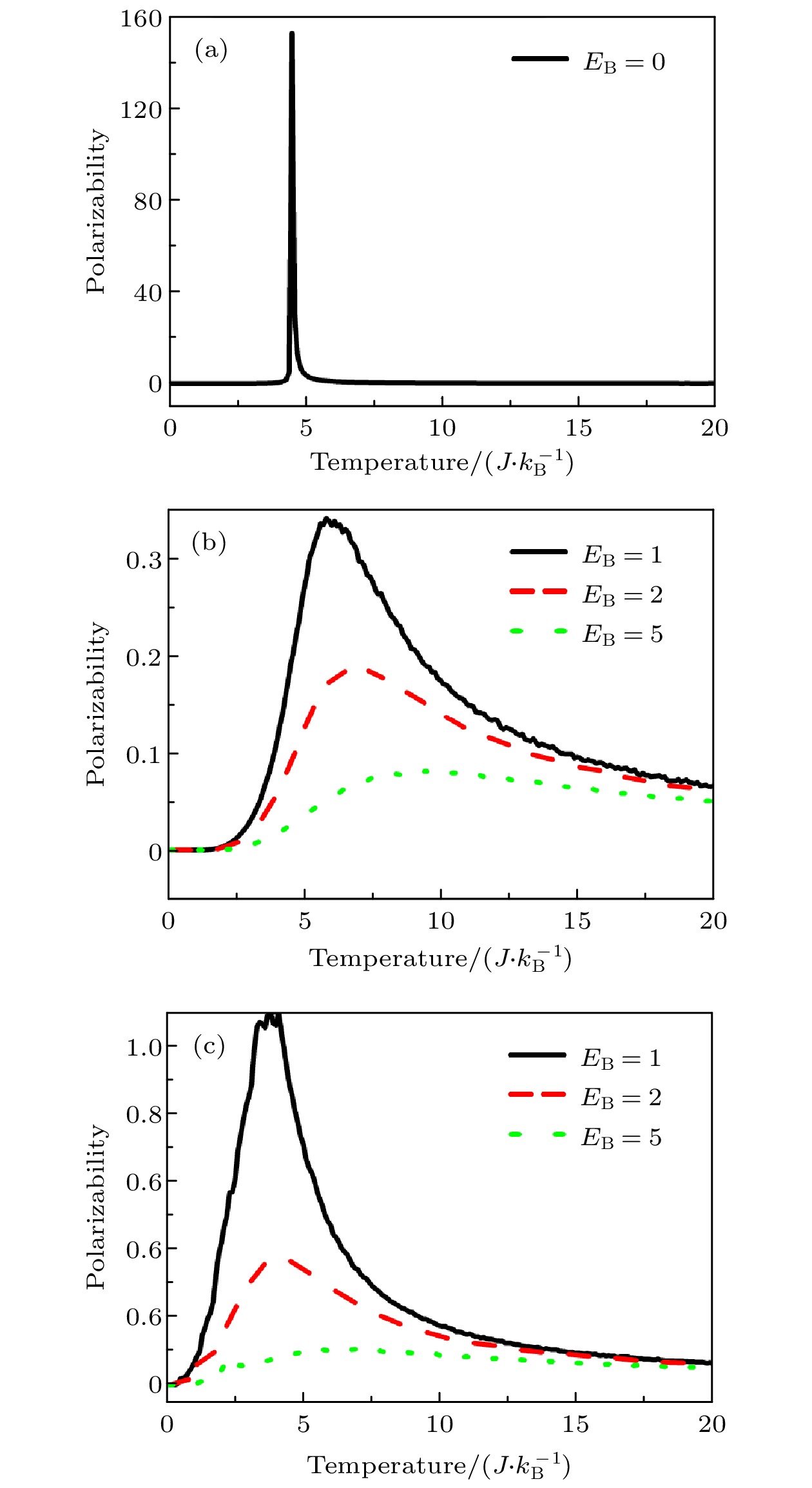
Here, in order to understand the diffuse phase transition and its internal mechanism, we build a modified Ising model by introducing an energy potential well that affects the spin variable (which is regarded as electric dipole in this research) and simulate the phase transition process using this model, which results in significantly smoothed phase transition with respect to temperature, exhibiting relaxor characteristics with diffuse phase transitions. More precisely, it is found that by applying the energy potential well to the dipoles in the system, the ferroelectric phase transition can be significantly broadened, that is, a diffused phase transition appears, showing strong relaxation characteristics that, as the temperature gradually increases, the average electric dipole moment does not change abruptly while the peak value of its permittivity decreases with the energy potential well. Moreover, at a temperature much higher than the transition temperature of the usual Ising model, the system can still maintain a certain polarization, which is in line with relaxor characteristics. By comparing to a previously proposed statistical model, it is found that the relaxation phenomenon is due to the fact that dipoles in the system are constrained by the given potential well, therefore difficult to flip, making the overall polarizability deviate from that of conventional ferroelectrics. Our results therefore show that the existence of dipole energy potential well is an important factor in the relaxation phenomenon of ferroelectric.
This modified Ising model, which accounts for the constrained dipoles statistically, is then used to investigate the thermal hysteresis effect of relaxor ferroelectrics in order to understand its origin. By comparing to experimental results, we are able to clarify the physics of the thermal hysteresis of relaxor ferroelectric, deepening our understanding from the theoretical and simulation perspective.