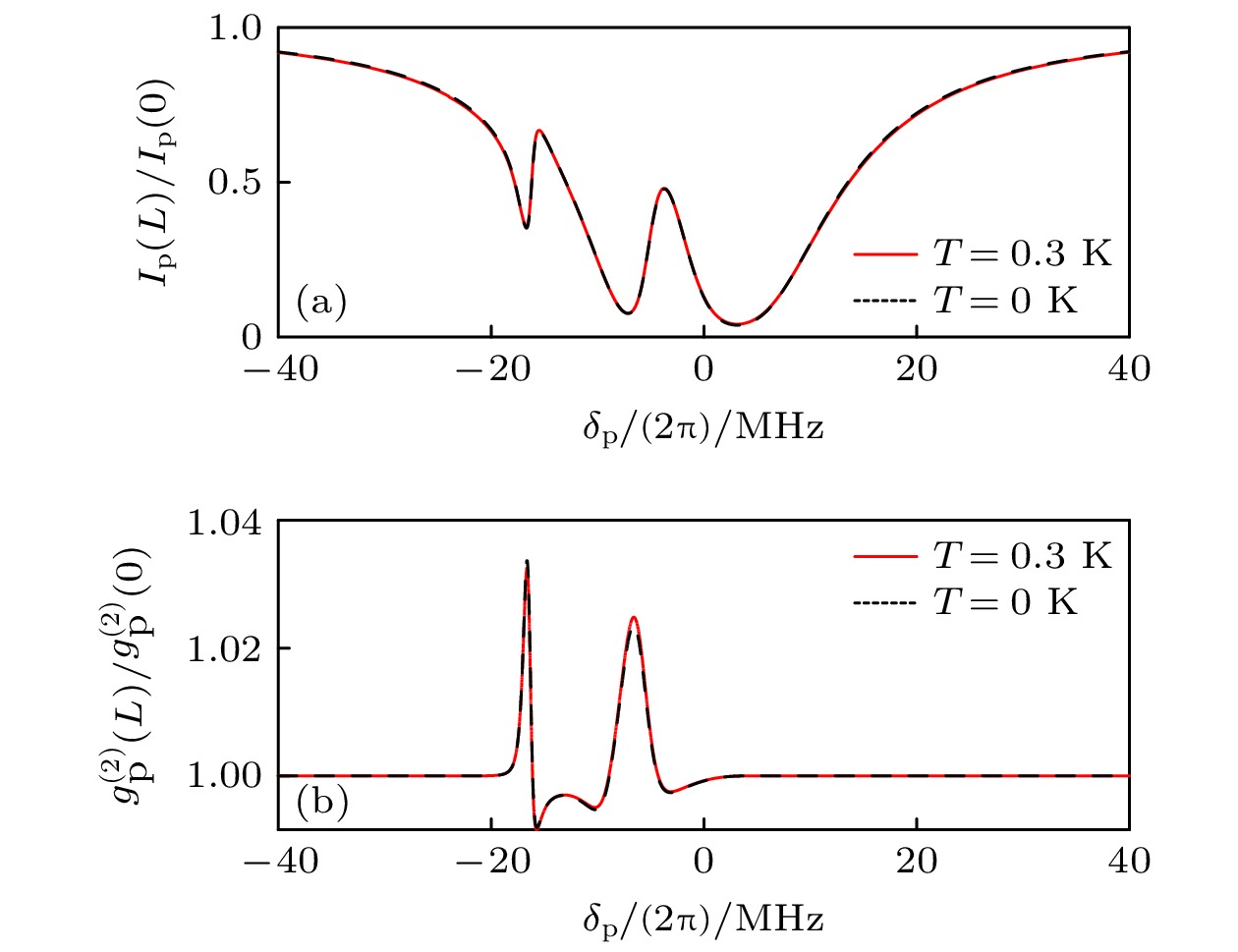
\begin{document}$\delta_e$\end{document} and \begin{document}$\delta_r$\end{document}, we can obtain the asymmetric transmission spectrum of the four-level Rydberg atomic system. The influence of Doppler effect on transmission spectrum and second-order intensity correlation function are also studied. By using super atom model, the influences of different incident probe field intensities on the transmission spectrum and the second-order intensity correlation function of probe field are discussed in the Rydberg atomic system. The results show that the transmission spectrum of the four-level Rydberg atomic system is symmetric when the detuning \begin{document}$\delta_e=\delta_r=0$\end{document}. We obtain the asymmetric transmission spectrum of the system when the value of detuning \begin{document}$(\delta_e, \delta_r)$\end{document} changes from 0 to 43 MHz. In order to evaluate the influence of temperature on the transmission spectrum of the system, the Lorentz distribution function is introduced to calculate the polarizability analytically. And, the influence of temperature on the asymmetric transmission spectrum and the second-order intensity correlation function are discussed at finite temperature separately. The results show that the transmittance of the outgoing probe field at the transparent window decreases with the increase of the intensity of the incident probe light field under the condition of electromagnetically induced transparency. When the intensity of the incident probe field is constant, the asymmetric transmission spectrum can be obtained by changing the detuning of the strong field. In addition, when the propagation direction of the probe field is consistent with that of the strong field, the peak value of the transmission spectrum and the peak value of the second-order intensity correlation function of the system slightly increase as the temperature increases. When the propagation direction of the detection field is inconsistent with that of the strong field, the influence of the Doppler effect on the transmission spectrum and the second-order intensity correlation function of the system can be ignored."> - 必威体育下载

Search

Article

x

留言板

姓名
邮箱
手机号码
标题
留言内容
验证码

downloadPDF
Citation:

    Gao Xiao-Ping, Liang Jing-Rui, Liu Tang-Kun, Li Hong, Liu Ji-Bing
    PDF
    HTML
    Get Citation
    Metrics
    • Abstract views:4167
    • PDF Downloads:80
    • Cited By:0
    Publishing process
    • Received Date:08 December 2020
    • Accepted Date:18 January 2021
    • Available Online:22 May 2021
    • Published Online:05 June 2021

      返回文章
      返回