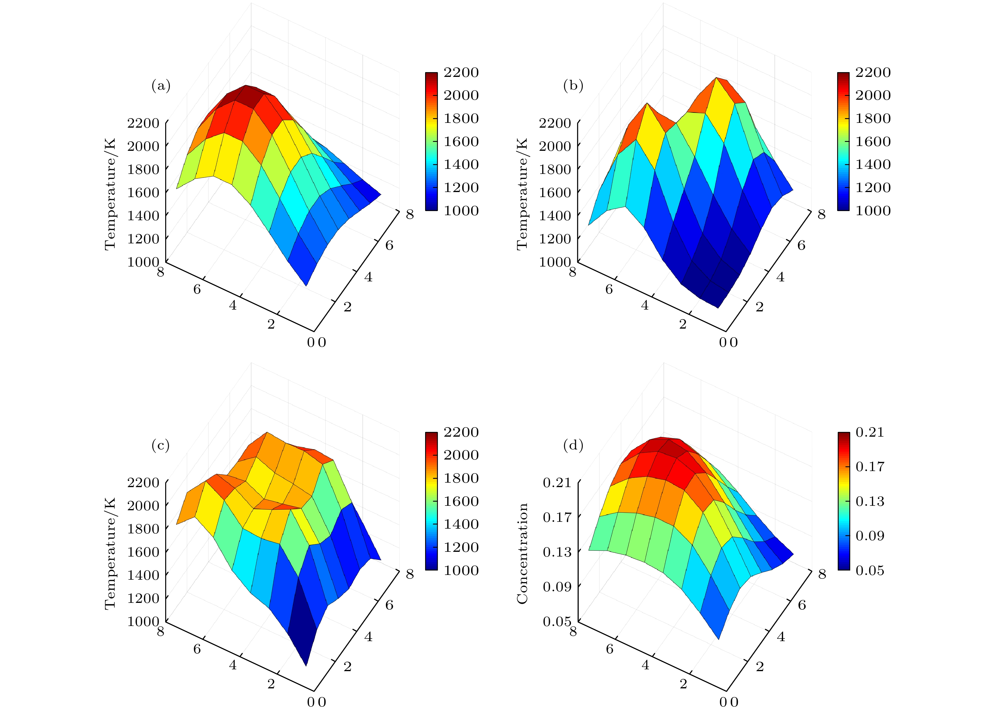
In this paper, a method of selecting the optimal transition lines’ combination is analyzed to measure the absorption spectrum of the non-uniform combustion flow field, which is used to solve the basic two-region distribution, and an improved simulated annealing algorithm (ISA) is proposed for reconstructing the field distribution of the combustion flow field, in order to solve the problems of slow convergence speed and low efficiency of the traditional simulated annealing algorithm. By modifying the model perturbation mode and annealing strategy, the efficiency of the algorithm and the chance to jump out of the local optimal space are further improved. According to the numerical simulation results, more transitions are helpful in improving the accuracy of combustion field reconstruction and making the reconstruction less sensitive to noise. It is worth noting that the optimal transitions’ combination is better than the non-optimal transitions’ combination with more transitions included. In this paper, three different combustion models are constructed to verify the effectiveness of the improved algorithm. A comparison between the reconstruction results of the traditional simulated annealing algorithm and the improved simulated annealing algorithm shows that both algorithms have the same precision but the latter algorithm has a higher operating efficiency, and a faster running time (nearly 40 times faster than the former algorithm). At the same time, the simulation results also show that the reconstruction accuracy will decrease slightly with the complication of combustion flow field. By building the TDLAS-HT measurement system in the laboratory and using 8 × 8 orthogonal optical path arrangement, the two different combustion states formed before and after placing the steel rod in the flat flame furnace are reconstructed, the results show that the reconstruction distribution is basically consistent with the original distribution, and the reconstructed distribution well shows the combustion characteristics of the original distribution of the flame field. The effectiveness of the proposed method is verified by numerical simulation and verification tests. Under the condition of the same reconstruction accuracy as the reconstruction accuracy of the traditional simulated annealing algorithm, the higher operating efficiency is helpful in reconstructing the rapidly changing turbulent field, which has some guiding significance for the hyperspectral reconstruction of temperature and concentration distribution in the combustion flow field.