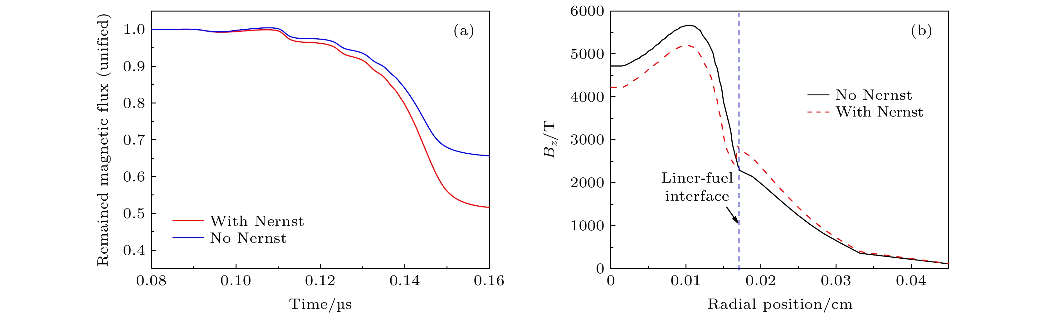
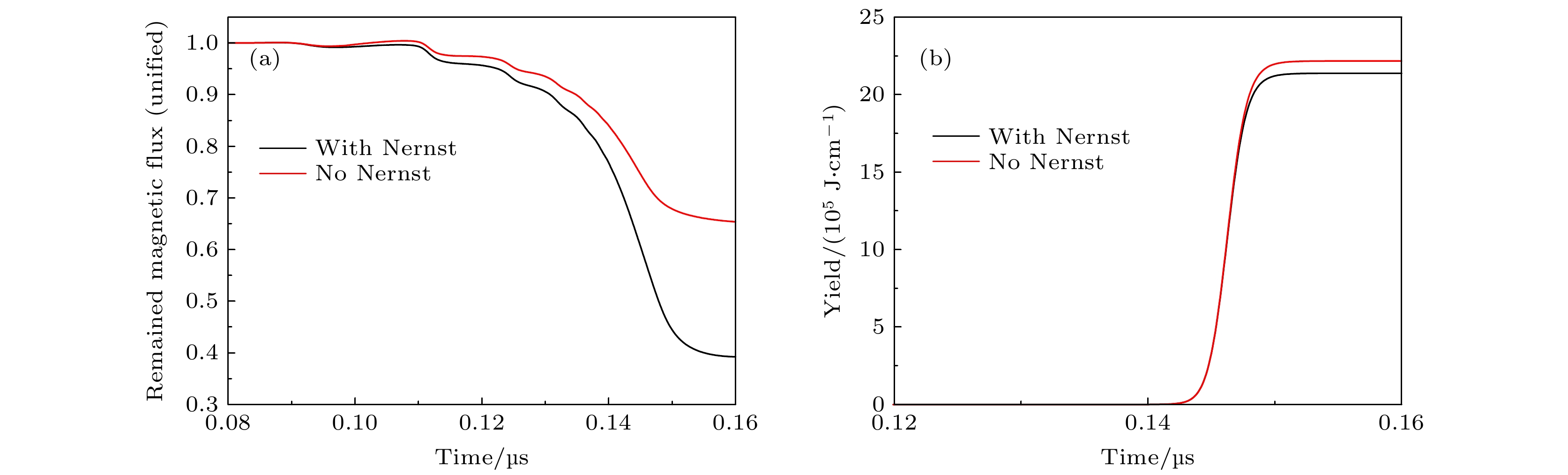
Axial magnetic field is one of the main parameters of magnetized liner inertial fusion (MagLIF), which is greatly different from other traditional inertial confinement fusion configurations. The introduce of axial magnetic field dramatically increases energy deposit efficiency of alpha particles, when initial
B
zincreases from 0 to 30 T, the ratio of deposited alpha energy rises from 7% to 53%. In the MagLIF process, the evolvement of magnetic flux in fuel can be roughly divided into three main stages: undisturbed, oscillation, and equilibrium. The distributions and evolution characteristic of axial magnetic field are both determined by the liner conductivity, fuel conductivity, and the fluid dynamics. The pressure imbalance between fuel and liner, caused by laser injection, is the source of fluid oscillation, which is an intrinsic disadvantage of laser preheating method. This fluid oscillation does not lead the magnetic flux to decrease monotonically in the fuel during implosion process, but oscillate repeatedly, even increase in a short time. Nernst effect plays a negative role in MagLIF process. As initial axial magnetic field decreases from 30 to 20 to 10 T, the Nernst effect causes magnetic flux loss to increase from 28% to 44% to 73% correspondingly, and the deposited alpha energy ratio drops from 44% to 27% to 4% respectively. So the initial magnetic field is supposed to be moderately high. The radial distribution of temperature in fuel should be as uniform as possible after preheating, which is helpful in reducing the influence of Nernst effect. Compared with Nernst effect, the end loss effect is much responsible for rapid drawdown of fusion yield. A large number of physical images are acquired and summarized through this work, which are helpful in understanding the process of magnetic flux compression and diffusion in MagLIF process. The simulation can act as a powerful tool and the simulation results can serve as a useful guidance for the future experimental designs.