\begin{document}$\varepsilon$\end{document} on the stability area and synchronization time is analyzed. The results show that with the increase of the coupling strength \begin{document}$\varepsilon$\end{document} or the increase of the system size N, the coupling force between particles increases, and the orderliness of the system increases, so that the stable region gradually increases and the synchronization time gradually decreases. Secondly, the stochastic resonance behavior of the system is studied. Noises provide randomness for the system, and coupling forces provide orderliness for the system. The two compete with each other, so that the system outputs about the noise intensity \begin{document}$\sigma$\end{document}, the coupling strength \begin{document}$\varepsilon$\end{document} and the system size N exhibit stochastic resonance behavior. As the coupling strength increases or the system size increases, the orderliness of the system increases, and greater noise intensity is required to provide stronger randomness to achieve optimal matching with it, so as to the resonance of the noise intensity \begin{document}$\sigma$\end{document}, the peak gradually shifts to the right. Conversely, as the noise intensity \begin{document}$\sigma$\end{document} increases, the resonance peak of the coupling strength \begin{document}$\varepsilon$\end{document} and the system size N will also shift to the right."> - 必威体育下载

Search

Article

x

留言板

姓名
邮箱
手机号码
标题
留言内容
验证码

downloadPDF
Citation:

    Jiang Lei, Lai Li, Yu Tao, Luo Mao-Kang
    PDF
    HTML
    Get Citation
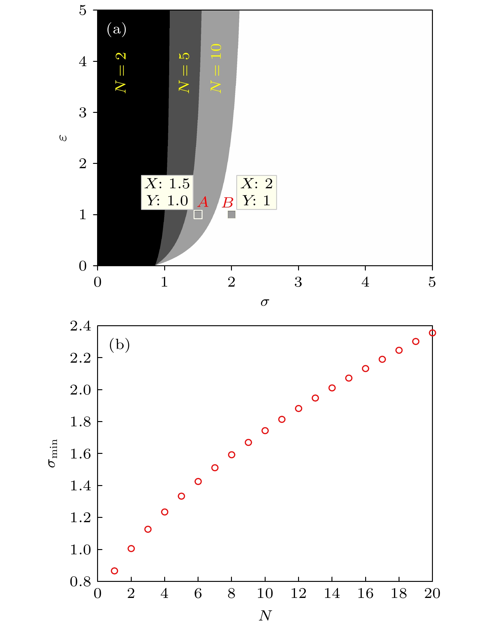
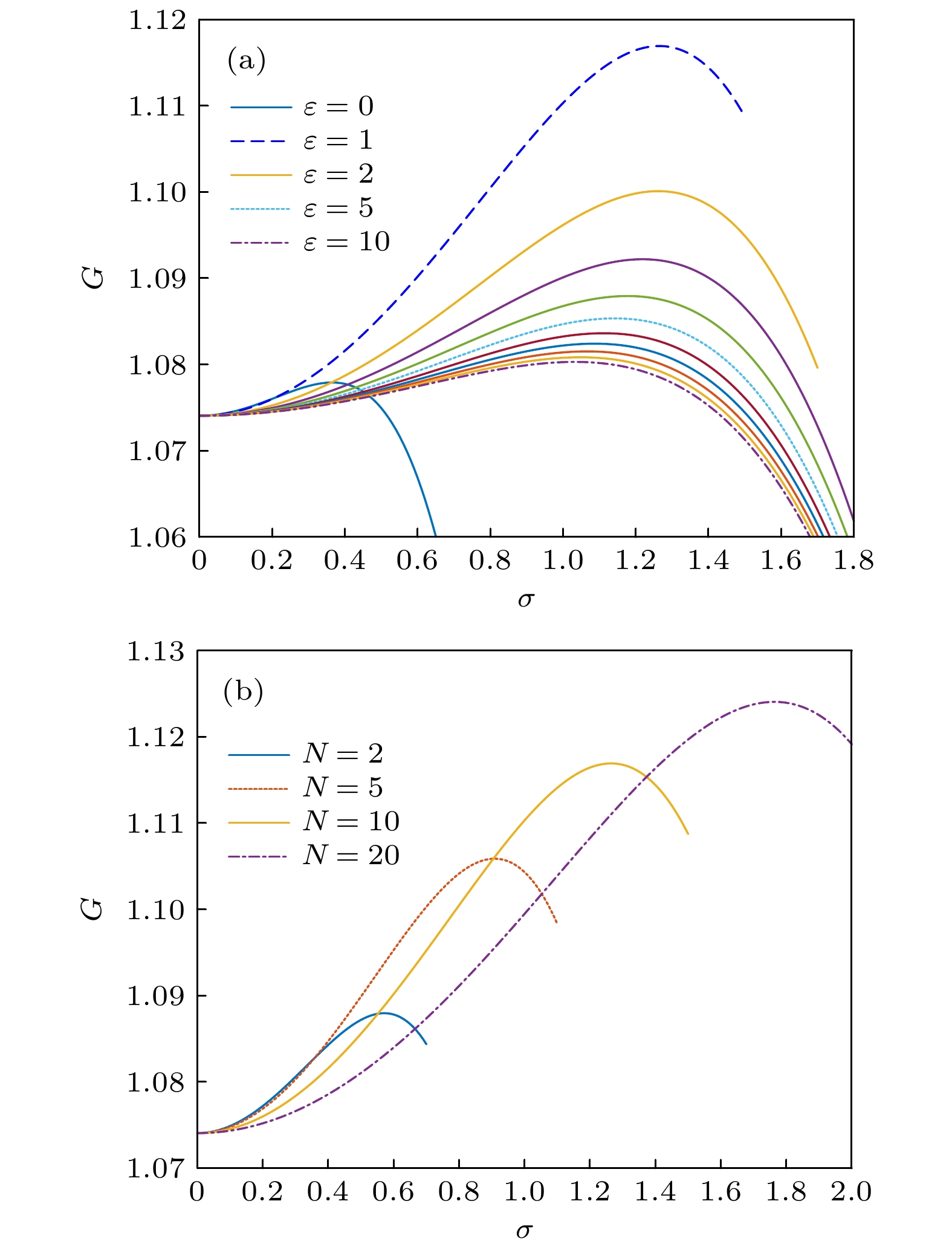
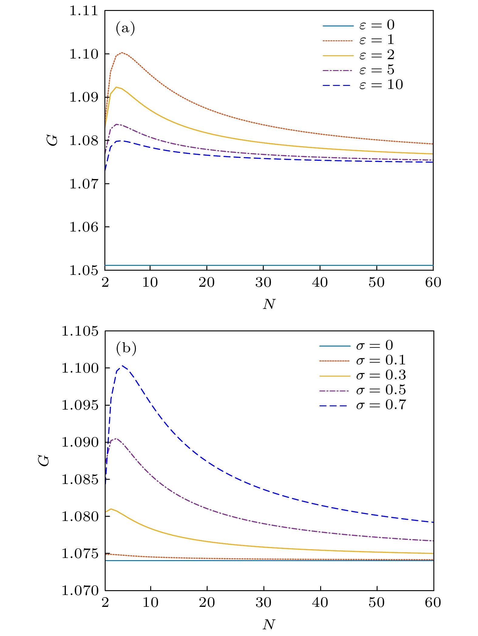
    • For multi-particle coupled systems, the effects of environmental fluctuations on each particle are often different in actual situations. To this end, this paper studies the collective dynamic behaviors in globally coupled harmonic oscillators driven by different frequency fluctuations, including synchronization, stability and stochastic resonance (SR). The statistical synchronicity between particles' behaviors is derived by reasonably grouping variables and using random average method, and then the statistical equivalence between behaviors of mean field and behaviors of single particle is obtained. Therefore, the characteristics of mean field's behaviors (that is, collective behaviors) can be obtained by studying behaviors of any single particle. Moreover, the output amplitude gain and the necessary and sufficient condition for the system stability are obtained by using this synchronization. The former lays a theoretical foundation for analyzing the stochastic resonance behavior of the system, and the latter gives the scope of adaptation of the conclusions in this paper. In terms of numerical simulation, the research is mainly carried out through the stochastic Taylor expansion algorithm. Firstly, the influence of system size Nand coupling strength $\varepsilon$ on the stability area and synchronization time is analyzed. The results show that with the increase of the coupling strength $\varepsilon$ or the increase of the system size N, the coupling force between particles increases, and the orderliness of the system increases, so that the stable region gradually increases and the synchronization time gradually decreases. Secondly, the stochastic resonance behavior of the system is studied. Noises provide randomness for the system, and coupling forces provide orderliness for the system. The two compete with each other, so that the system outputs about the noise intensity $\sigma$ , the coupling strength $\varepsilon$ and the system size Nexhibit stochastic resonance behavior. As the coupling strength increases or the system size increases, the orderliness of the system increases, and greater noise intensity is required to provide stronger randomness to achieve optimal matching with it, so as to the resonance of the noise intensity $\sigma$ , the peak gradually shifts to the right. Conversely, as the noise intensity $\sigma$ increases, the resonance peak of the coupling strength $\varepsilon$ and the system size Nwill also shift to the right.
          Corresponding author:Yu Tao,scuyutao@163.com
        • Funds:Project supported by the Young Scientists Fund of the National Natural Science Foundation of China (Grant Nos. 11501385, 11801385)
        [1]

        [2]

        [3]

        [4]

        [5]

        [6]

        [7]

        [8]

        [9]

        [10]

        [11]

        [12]

        [13]

        [14]

        [15]

        [16]

        [17]

        [18]

        [19]

        [20]

        [21]

        [22]

        [23]

        [24]

        [25]

        [26]

        [27]

        [28]

        [29]

        [30]

        [31]

        [32]

        [33]

        [34]

        [35]

        [36]

        [37]

        [38]

        [39]

        [40]

        [41]

        [42]

        [43]

        [44]

        [45]

        [46]

        [47]

        [48]

        [49]

        [50]

        [51]

        [52]

        [53]

        [54]

        [55]

        [56]

        [57]

        [58]

      • 乘因子 变量
        1 $ \left\langle x_1\right\rangle $ $ \cdots $ $ \left\langle x_i\right\rangle $ $ \cdots $ $ \left\langle x_N\right\rangle $
        $ \xi_1 $ $ \left\langle \xi_1 x_1\right\rangle $ $ \cdots $ $ \left\langle \xi_1 x_i\right\rangle $ $ \cdots $ $ \left\langle \xi_1 x_N\right\rangle $
        $ \vdots $ $ \vdots $ $ \vdots $ $ \vdots $
        $ \xi_{i_1}\xi_{i_2}\cdots\xi_{i_k} $ $ \left\langle \xi_{i_1}\xi_{i_2}\cdots\xi_{i_k}x_1\right\rangle $ $ \cdots $ $ \left\langle \xi_{i_1}\xi_{i_2}\cdots\xi_{i_k}x_i\right\rangle $ $ \cdots $ $ \left\langle \xi_{i_1}\xi_{i_2}\cdots\xi_{i_k}x_N\right\rangle $
        $ \vdots $ $ \vdots $ $ \vdots $ $ \vdots $
        $ \xi_{1}\xi_{2}\cdots\xi_{N} $ $ \left\langle \xi_{1}\xi_{2}\cdots\xi_{N}x_1\right\rangle $ $ \cdots $ $ \left\langle\xi_{1}\xi_{2}\cdots\xi_{N}x_i\right\rangle $ $ \cdots $ $ \left\langle \xi_{1}\xi_{2}\cdots\xi_{N}x_N\right\rangle $
        DownLoad: CSV
      • [1]

        [2]

        [3]

        [4]

        [5]

        [6]

        [7]

        [8]

        [9]

        [10]

        [11]

        [12]

        [13]

        [14]

        [15]

        [16]

        [17]

        [18]

        [19]

        [20]

        [21]

        [22]

        [23]

        [24]

        [25]

        [26]

        [27]

        [28]

        [29]

        [30]

        [31]

        [32]

        [33]

        [34]

        [35]

        [36]

        [37]

        [38]

        [39]

        [40]

        [41]

        [42]

        [43]

        [44]

        [45]

        [46]

        [47]

        [48]

        [49]

        [50]

        [51]

        [52]

        [53]

        [54]

        [55]

        [56]

        [57]

        [58]

      Metrics
      • Abstract views:4150
      • PDF Downloads:93
      • Cited By:0
      Publishing process
      • Received Date:24 January 2021
      • Accepted Date:13 February 2021
      • Available Online:23 June 2021
      • Published Online:05 July 2021

        返回文章
        返回