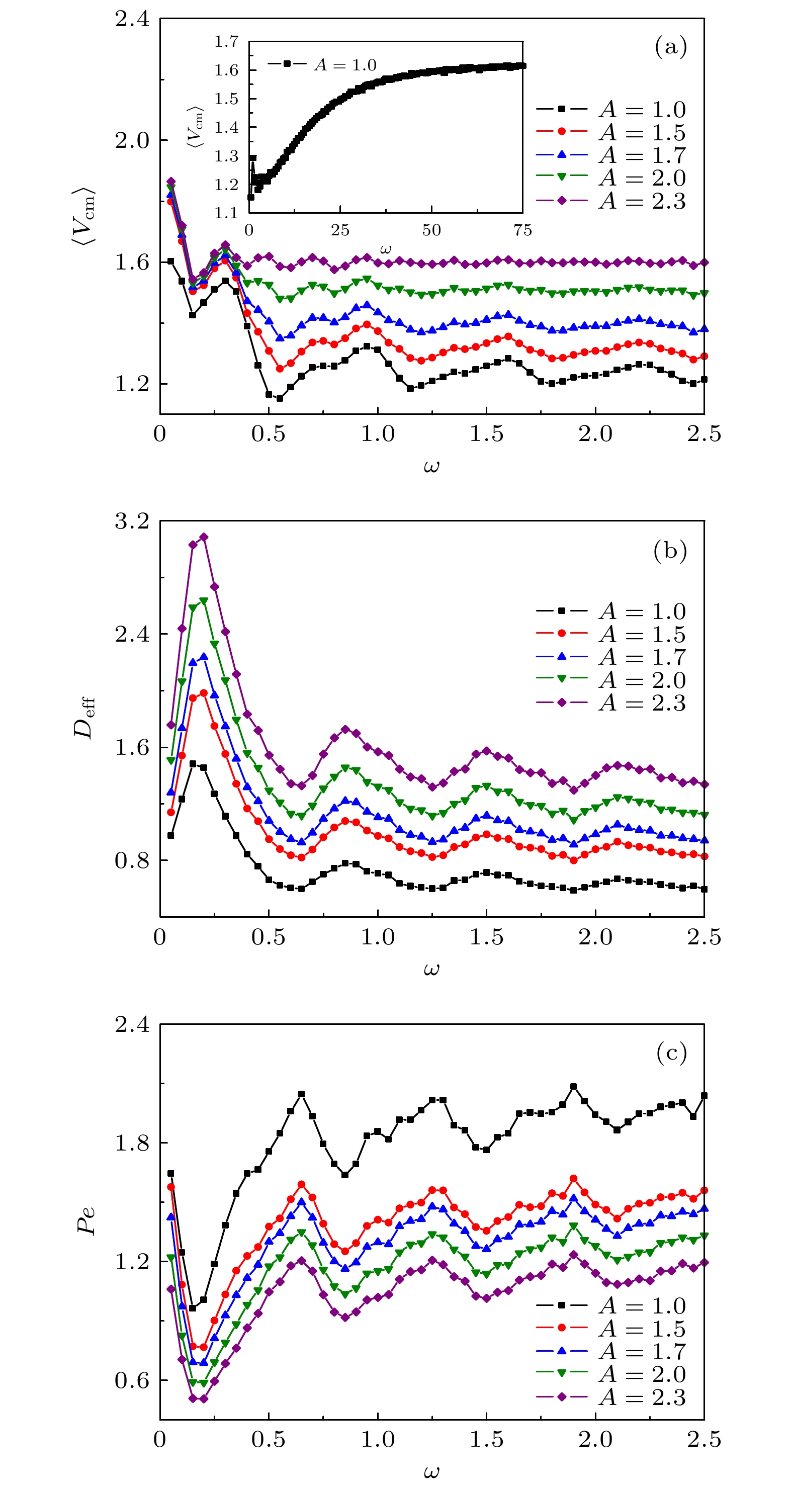
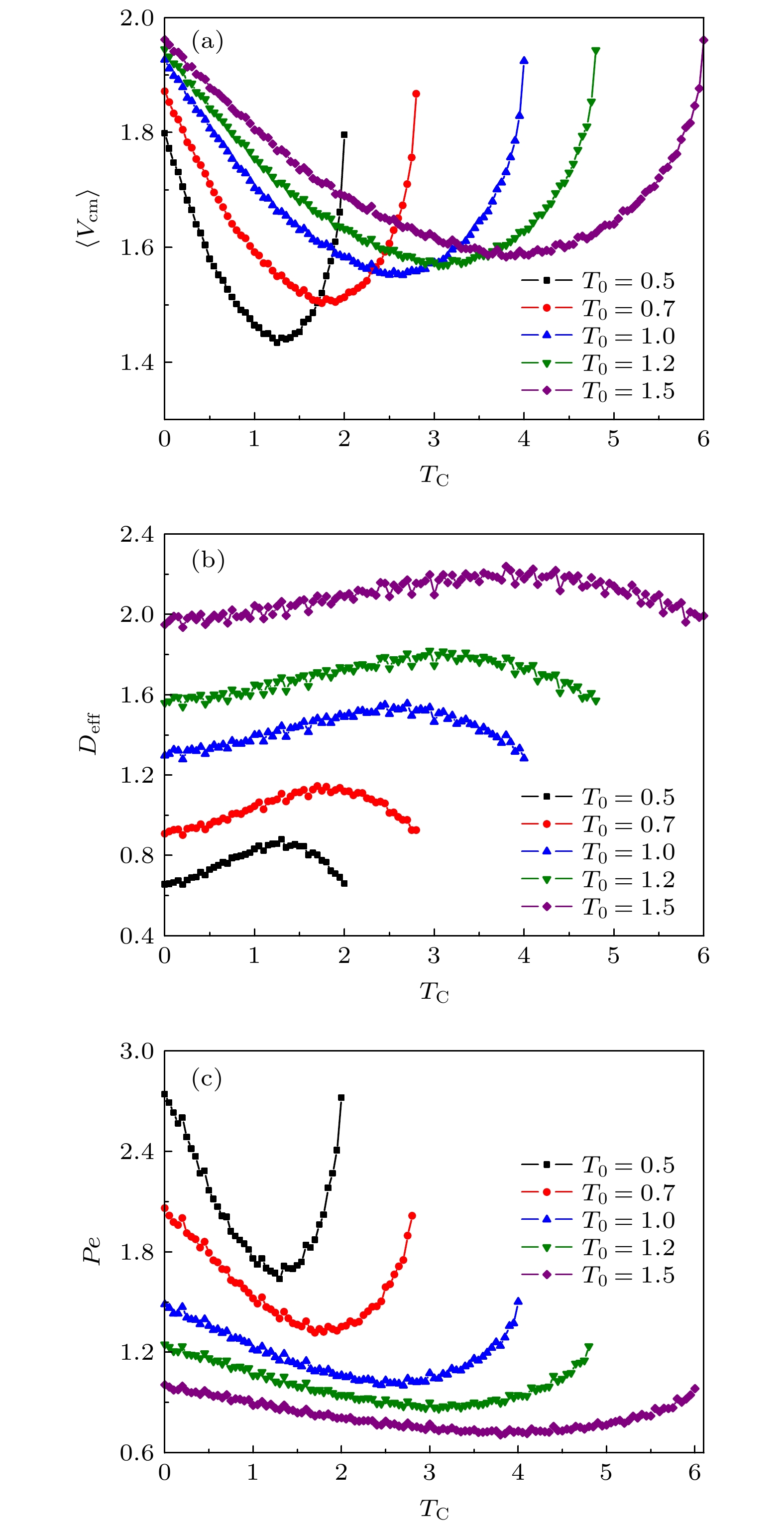
2007 Eur. Phys. J. B 59 63) pioneered the idea of error probability and discussed the transport behavior of feedback ratchets in the presence of error probability.Based on Cao's error ratchet model, in this paper the temperature factor in introduced to further control the feedback ratchets, and the directed transport characteristics of the coupled Brownian particles in the temperature feedback ratchets are studied. The effects of temperature factor, phase difference and temperature frequency on the directed transport of coupled Brownian particles are discussed in detail. It is found that the temperature factor does not always reduce the directed transport of Brownian particles. There is a minimum value which means that the temperature factor can enhance the directed transport of the feedback ratchets within a certain change interval. In addition, in a small temperature amplitude range, the directed transport of the coupled particles exhibits a multi-peak structure with the change of temperature frequency. It is means that the appropriate temperature change frequency can enhance the directed transport of the feedback ratchets multiple times. The conclusions obtained in this paper can not only inspire experimental selection of appropriate temperature feedback information to optimize the directed transport of the Brownian ratchets, but also provide theoretical references for analyzing and processing the experimental data, especially error analysis."> - 必威体育下载

Search

Article

x

留言板

姓名
邮箱
手机号码
标题
留言内容
验证码

downloadPDF
Citation:

    Liu Tian-Yu, Cao Jia-Hui, Liu Yan-Yan, Gao Tian-Fu, Zheng Zhi-Gang
    PDF
    HTML
    Get Citation
    Metrics
    • Abstract views:3689
    • PDF Downloads:47
    • Cited By:0
    Publishing process
    • Received Date:17 March 2021
    • Accepted Date:20 May 2021
    • Available Online:18 September 2021
    • Published Online:05 October 2021

      返回文章
      返回