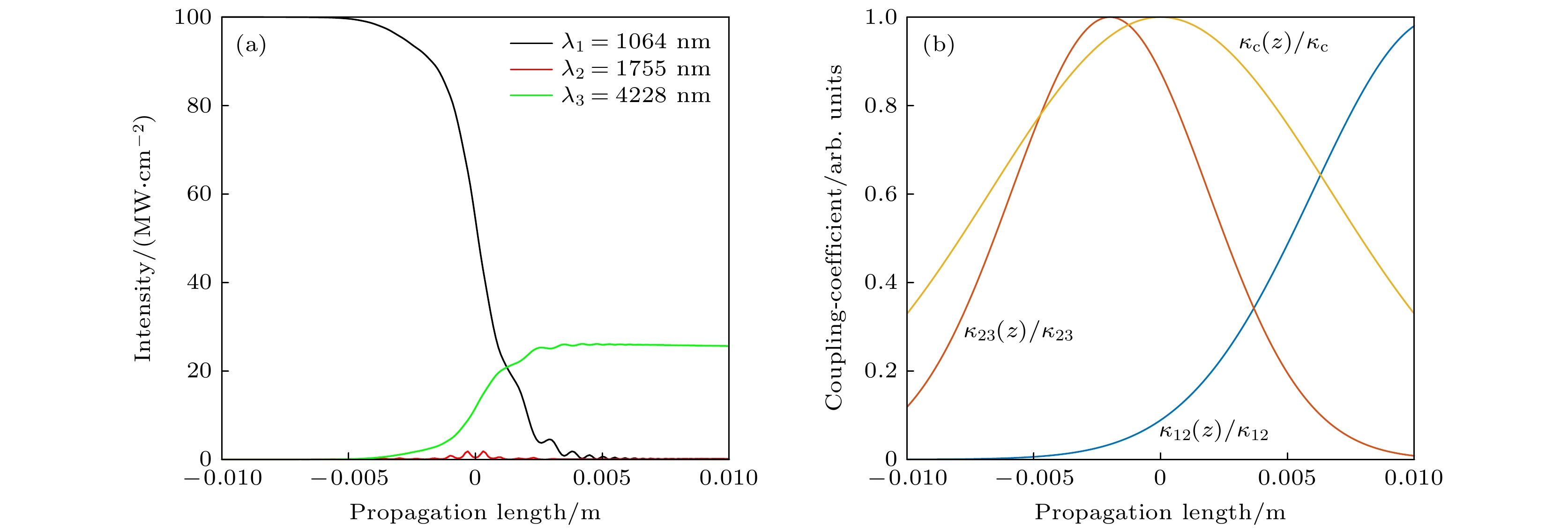
The nonlinear wavelength conversion can generate the laser wavelengths which are not directly available, thereby broadening the laser spectrum range. However, the phase mismatch greatly limits the development and application of nonlinear optical technology. The wavelength conversion schemes in a manner analogous to population transfer in atomic rapid adiabatic passage, stimulated Raman adiabatic passage (STIRAP), and Stark chirped rapid adiabatic passage (SCRAP) provide feasible solutions for efficient and broadband wavelength conversion. The SCRAP uses the Stark shift caused by the Stark field to generate energy level crossings, therefore, the population in initial state can be efficiently converted into the target state. It does not require the two-photon resonance, and can be applied to multi-photon transition. In this paper, by approximate analogy to the adiabatic population theory, a wavelength conversion model with the KTP crystals based SCRAP is established, the influence of the coupling delay parameters, width parameters, pump intensity, temperature, and incident wavelength on the conversion process are systematically studied. The results show that the signal laser energy can be almost converted into output laser energy, while the intermediate laser energy is kept extremely low in the conversion process. The conversion process is sensitive to changes in coupling delay parameters, width parameters, and pump intensity. The farther away fromits optimal value the coupling delay parameter, the lower the conversion efficiency is. When the width parameter
$ d_2^2 $
is fixed, as the width parameter
$ d_1^2 $
increases, the conversion efficiency first increases to a maximum value, and then slowly decreases. At the same time, the greater the value of the width parameter
$ d_2^2 $
, the greater the achievable maximum conversion efficiencies, and the greater the bandwidth that can achieve high-efficiency wavelength conversion. The conversion efficiency increases as the pump intensity increases. When the conversion efficiency value reaches a maximum value, the increase in pump intensity has almost no effect on the conversion efficiency. However, changes in temperature and incident wavelength have little effect on the conversion efficiency. The above research can provide a theoretical basis for the acquisition of ultraviolet to mid-infrared light sources and the manufacture of photonic devices.