Both the information about the scattering of muons due to their interaction with material and the information about the material-stopped muons generating secondary induced neutrons effectively are used for multimodal imaging of muon. In order to evaluate the image quality of multimodal imaging of muon, the detection model is established based on Geant4 and the reliability of the detection model is verified. Both the multiple Coulomb scattering module and the muon induced neutron module prove to be reliable. The multimodal imaging simulation program is developed, and the images are reconstructed on the basis of the simulated data. Four imaging models are developed. The first model is a line pair model used to study the spatial resolution of reconstructed images with imaging time ranging from two hours to two weeks. The line pair model is composed of
235U and the length of each line pair is set to be 100 mm. The cross sections are set to be 4
2, 4
2, 6
2, 6
2, 10
2, 10
2, 20
2, and 20
2mm
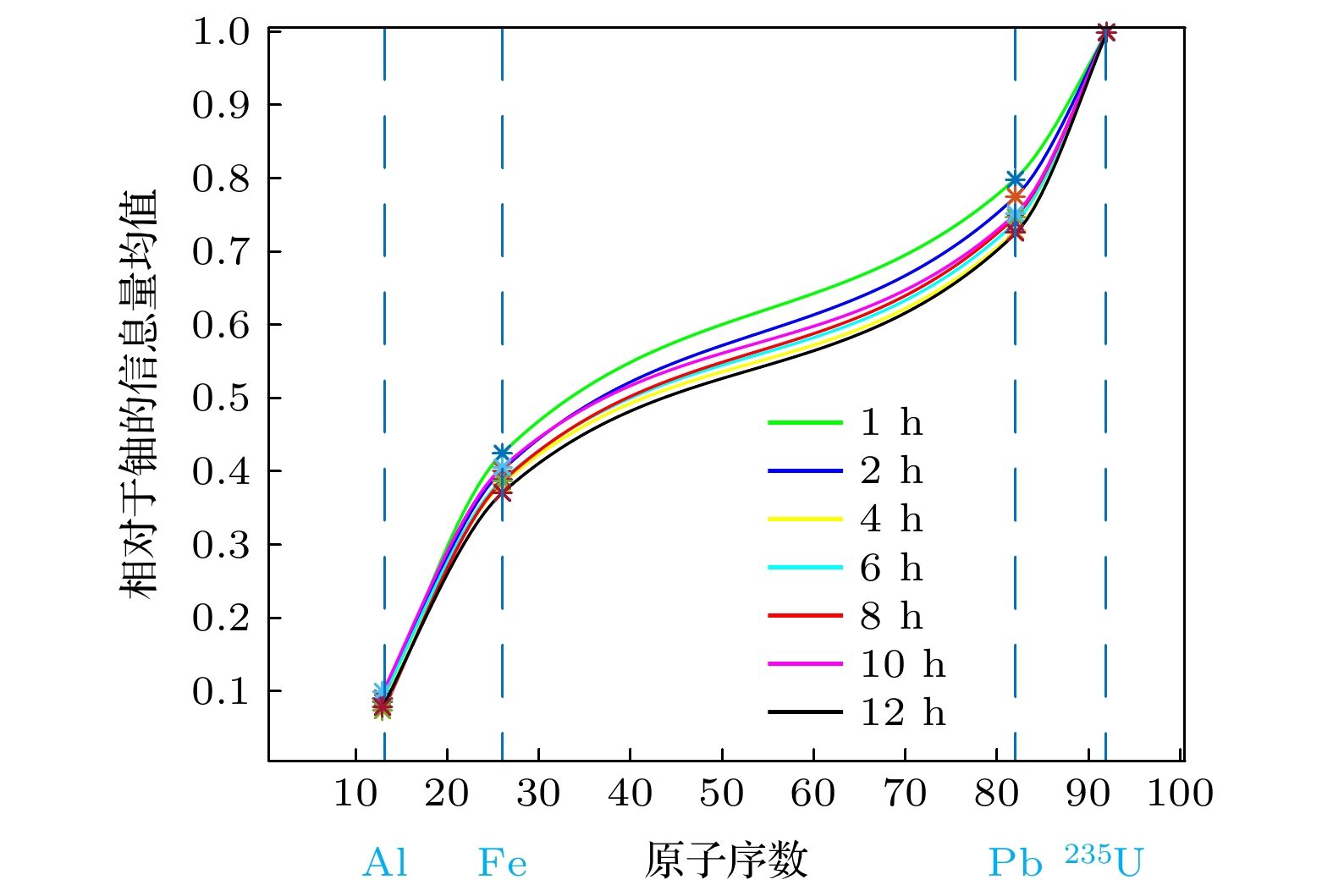
2, respectively. The second model is a cube model used to study the material resolution of reconstructed images with imaging time ranging from one hour to twelve hours. The side length of each cube is 100 mm. The third model is the cladding model used to test the reliability of multimodal imaging images in complex shielding situations. The outermost layer is of lead, with the side length being 140 mm and the thickness 40 mm. The middle layer is of iron, with the side length being 100 mm and the thickness 40 mm. The innermost layer of
235U, with the side length being 60 mm. The last letter model is used to calculate the structural similarity of reconstructed images, with imaging time ranging from half an hour to twelve hours. The letter model is made of
235U and consists of cubes with side length of 50 mm. The letters “E” and “P” are made up of 16 cubes and 15 cubes respectively. The spatial resolution reaches 4 mm when imaging time is within 12 hours. The
235U and other common high-z, medium-z, and low-z material can be distinguished when imaging time is on the order of hours. Muon scattering imaging image of the cladding model will cause misjudgment. However, the multimodal imaging image can correctly reflect the existence of
235U. The structure similarity between the reconstructed image and the reference image in different imaging times proves that multimodal imaging has higher quality than single imaging method. The study indicates that the multimodal imaging of muon has better imaging quality, can adapt to more complex imaging scenes and has more advantages in the detection and recognition of special nuclear material than muon imaging method with single interaction information.