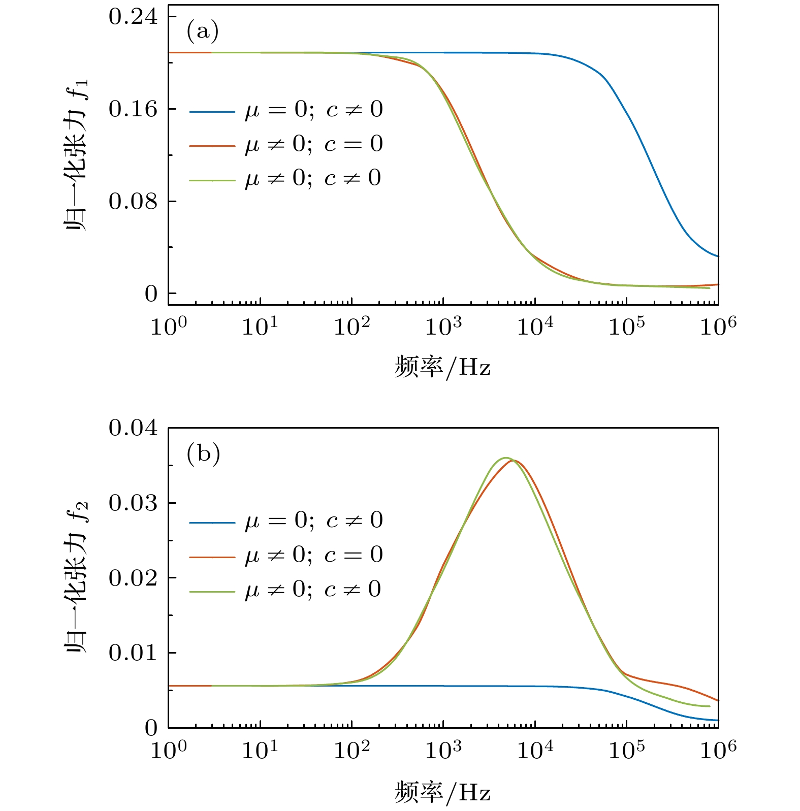
Explanation of cochlear active acoustic amplification mechanism has been an unsolved medical problem. This mechanism is closely related to the motion of the stereocilia at the top of the outer hair cells in the cochlea. The motion of stereocilia is regulated by the tip-link tension and the fluid force of the lymph fluid. Therefore, studying the tip-link tension during the motion of stereocilia is an important part of the explanation of the cochlea's active sensory sound amplification mechanism. Most of previous studies regarded the stereocilia as rigid bodies, and ignored the influence of shaft bending when studying the mechanical properties of hair bundle. Most of the researches on elastic stereocilia used the finite element simulation, or simplified the model by ignoring the fluid-solid coupling with lymph fluid, or considered only static loading. Based on the Poiseuille flow combined with the distributed parameter model, the analytical solution of the elastic motion of stereocilia is derived in this work. The dynamic response of the stereocilia under the shear force of the tectorial membrane and the change law of tip-link tension are studied. The shaft bending produces a nonlinear accumulation of displacement at the height of the stereocilia. The higher the stereocilia, the more obvious the accumulation effect is. Under the action of dynamic load, the shaft bending contributes most to the displacement response in the tall stereocilium, and this contribution is easily affected by frequency change. Under low frequency load, the displacement response of tall stereocilium comes mainly from the root deflection. At high frequency, the shaft bending increases significantly, and the displacement response is produced by the combination of shaft bending and root deflection. The change of F-actin content in the cochlea exposed to noise would affect the stereocilia stiffness. In this paper, it is found that the decrease of stereociliary Young's modulus will increase the peak value of normalized tension and reduce its peak frequency, and the amplitude of normalized tension will increase under the low frequency shear load. Since the tip-link is connected to an ion channel, the change of normalized tension will affect the probability of ion channels opening, change the ability of cochlea to perceive the sound of corresponding frequency, and then affect the frequency selectivity of hair bundle. Therefore, previous studies of stereocilia regarded as rigid bodies underestimated the response of the cochlea to low-frequency acoustic signals. This model accurately describes the law of tip-link tension and provides a corresponding theoretical explanation for hearing impairment caused by noise environment. Previous experiments have shown that the lymphatic viscous resistance has little effect on the deflection of stereocilia. In this paper, when the viscous resistance is ignored, the tip-link tension changes very little, and when the pressure between the stereocilia is ignored, the tip-link tension changes significantly and the resonance peak of
$ {f_2} $
disappears. Therefore, lymphatic fluid regulates the resonance properties of the tip-link tension by creating the pressure between the stereocilia. The presence of lymphatics is essential for generating the frequency characteristics of the hair bundle. In the low frequency domain, the motion of stereocilia is regulated mainly by tip-link, and in the high frequency domain, it is regulated mainly by lymphatic pressure.