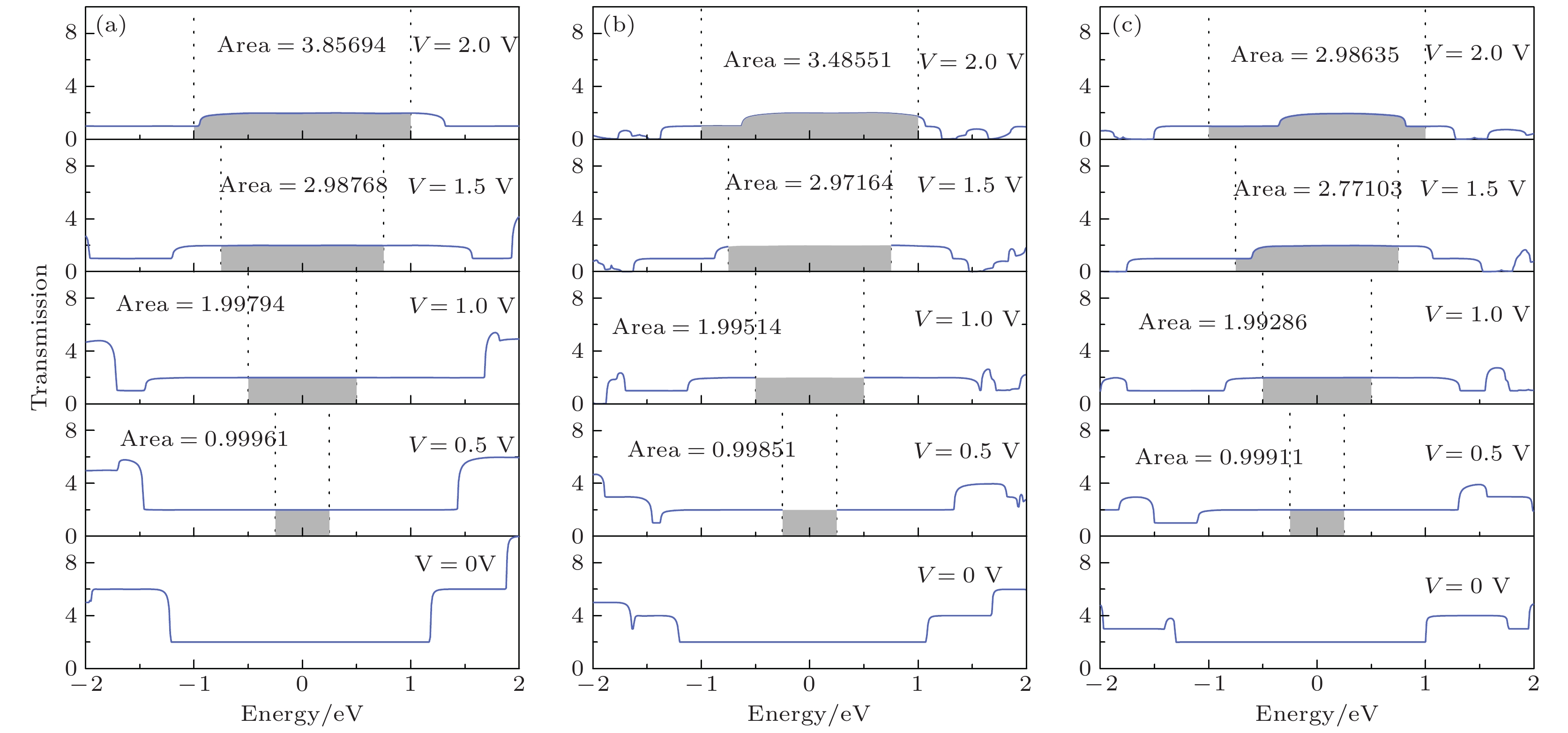
In this paper, molecular dynamics simulation method is used to investigate the contacting configuration of carbon nanotubes with open ends and metal, thereby obtaining the law of radial compression deformation of carbon nanotubes. The obtained results show that after horizontally contacting the metal surface, the radial compression deformation is affected by the contact length, the diameter of the tube, the type of metal and the number of layers. Based on the first principles combining tight-binding density functional theory and non-equilibrium Green's function, the electron transport properties of carbon nanotubes with different diameters, chiralities, lamellar deformations and radial deformations are systematically studied. The obtained results show that the current of metallic single-walled carbon nanotubes presents linear change in a bias voltage range between –2 V and 2 V, and the current-voltage curve is symmetrical about the origin. The magnitude of the current is only related to the bias voltage, but not to the diameter; when the carbon nanotubes are deformed by radial compression, the current growth trend is downward and even plateau effect may appear under a larger bias voltage. The current flowing in the semiconducting single-walled carbon nanotubes decreases with the increase of radial compression deformation, and the current-voltage curve gradually transforms from semiconductor characteristics into metallic characteristics. The trend of the current-voltage curve of double-walled carbon nanotubes is consistent with that of metallic single-walled carbon nanotubes. However, the non-linear variation amplitude of the current-voltage curve of double-walled carbon nanotubes is less affected by the radial compression deformation. Owing to the increase of walls of nanotubes, the current of double-walled carbon nanotubes is twice as high as that of single-walled carbon nanotubes under the same bias voltage. The electrons can produce transitions through rapid vibration between adjacent tubes, in view of the fact that interlayer coupling characteristics of three-walled carbon nanotubes reduce the degeneracy of the energy level and larger system increases the density of states near the Fermi level, resulting in large oscillations and asymmetry about the origin of the current-voltage curve.