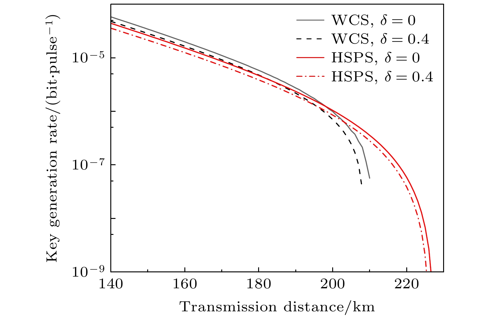
Phys. Rev. A 90 052314), here in this work we propose a state preparation error tolerant quantum key distribution protocol through using heralded single-photon sources.  In this protocol, we characterize the size of the error in the preparation state of Alice and bring it into the security analysis, thereby avoiding possible security loopholes and improving the security of the system. Moreover, we take the three-intensity decoy-state method for example to introduce the method of constructing the model and estimating the parameters, and carry out corresponding numerical simulations.  We make a comparison between the loss tolerant protocol with weak coherent source (WCS) and our present protocol using heralded single-photon source (HSPS). Simulation results show that under the same state preparation error, the key generation rate of the protocol based on WCS is higher than that of protocol based on HSPS at short transmission distances (e.g. less than 150 km). The main reason is that the detection efficiency of the local detector used in the latter scheme is low. However, in the case of long transmission distances (e.g. greater than 200 km), the key generation rate of scheme with WCS drops deeply, while the decline of the key generation rate of the present scheme is much flatter. As a result, the former can no longer generate keys after 211 km, while the latter can transmit a maximum distance of 228 km.  Moreover, we also make a comparison between the present scheme and the GLLP protocol with HSPS. The simulation results show that the GLLP protocol with HSPS is very sensitive to the state preparation error and its key generation rate will rapidly decrease with the increase of the state preparation error. On the contrary, our present protocol shows almost no performance degradation under practical state preparation errors. It thus verify the robustness against the state preparation errors of our present work.  In addition, in principle, the method can also be combined with the measurement-device-independent quantum key distribution protocol and the twin-field quantum key distribution protocol to further increase the secure communication transmission distance that the present system can reach. Therefore, this work may provide an important reference value for the practical application of long-distance quantum secure communication in the near future."> - 必威体育下载

Search

Article

x

留言板

姓名
邮箱
手机号码
标题
留言内容
验证码

downloadPDF
Citation:

    Ma Xiao, Sun Ming-Shuo, Liu Jing-Yang, Ding Hua-Jian, Wang Qin
    PDF
    HTML
    Get Citation
    Metrics
    • Abstract views:3293
    • PDF Downloads:68
    • Cited By:0
    Publishing process
    • Received Date:07 August 2021
    • Accepted Date:11 September 2021
    • Available Online:23 January 2022
    • Published Online:05 February 2022

      返回文章
      返回