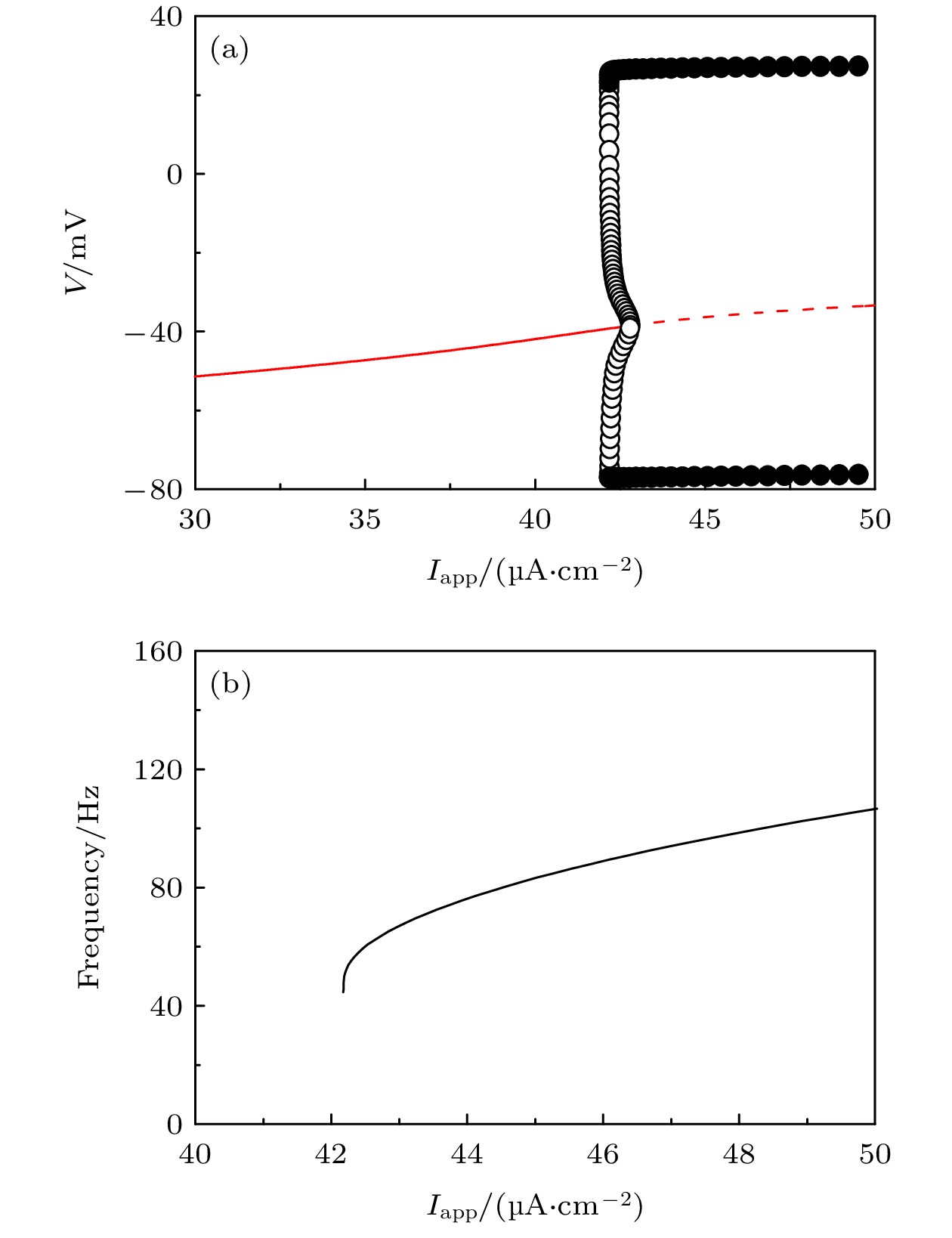
Neural activities driven by synaptic inputs are important for neural coding. In general, excitatory synaptic inputs facilitate the firing activities of neurons, and inhibitory synaptic inputs suppress the firing activities. In the present work, the autapse model with adjustable current decay speed is considered, and the suppression effects of excitatory autapse on neuronal firing responses are simulated near subcritical Hopf bifurcation in the Morris-Lecar (ML) neuron model, which are compared with the suppression effects of the inhibitory autapse. Furthermore, the dynamical mechanisms of the suppression effects are acquired with the help of the phase response curve and phase trajectories perturbed by excitatory autaptic current. Near the subcritical Hopf bifurcation, the ML neuron exhibits monostable periodic spiking and coexistence of periodic spiking and resting state. For monostable periodic spiking, excitatory autaptic current with fast and middle decay speeds can induce the periodic spiking with reduced firing frequency and the mixed-mode oscillations (MMOs) that are alternations between subthreshold oscillations and a spike, respectively, and inhibitory autaptic current with middle and slow decay speeds can also induce these two behaviors, respectively. For the periodic spiking in the coexistence region, besides the above two behaviors, excitatory autaptic current with middle decay speed and inhibitory autaptic current with slow decay speed can induce the change from spiking to resting state. The results enrich the paradoxical cases that excitatory inputs suppress the neuronal firing responses, and present the different nonlinear mechanisms in the suppression effects of excitatory and inhibitory self-feedbacks on the neuronal spiking, which provide novel measures to modulate neuronal firing activity.