Owing to the development of XUV and X ray of the free-electron lasers, the photoelectron angular distribution in the sequential two-photon double ionization has received increasing attention of theorists and experimentalists, because it provides the valuable information about the electronic structure of atom or molecule systems and allows the obtaining of additional information about mechanisms and pathways of the two-photon double ionization. In this paper, the expression of the sequential two-photon double ionization process of the photoelectron angular distributions, including the non-dipole effects, is obtained based on the multi-configuration Dirac-Fock method and the density matrix theory, and the corresponding calculation code is also developed. Based on the code, the sequential two-photon double ionization process of the 3p and 2p shells of Ar atom and K
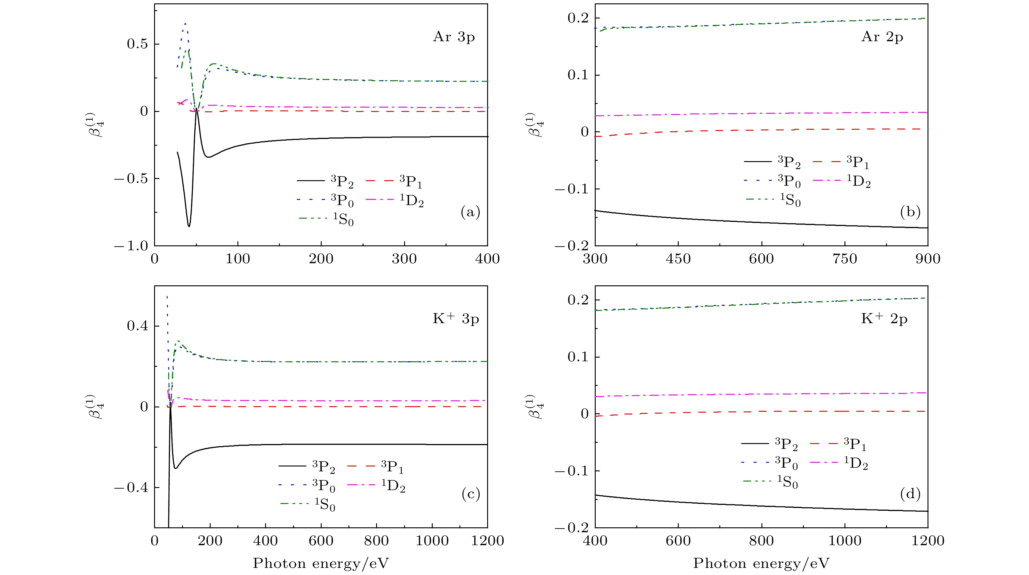
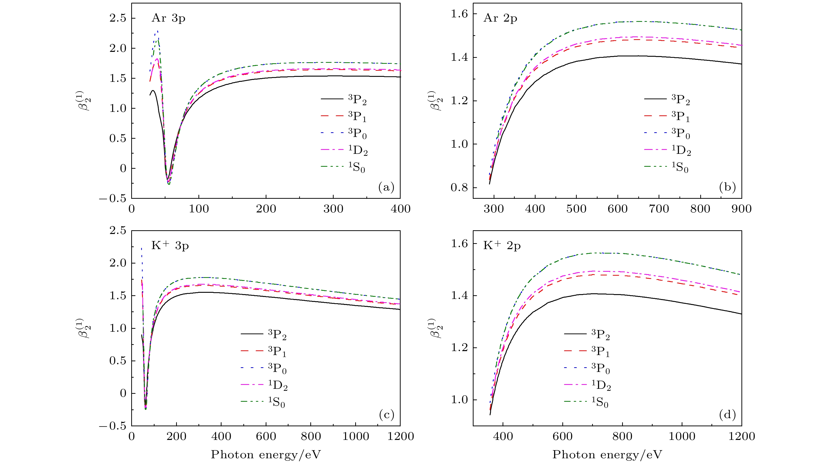
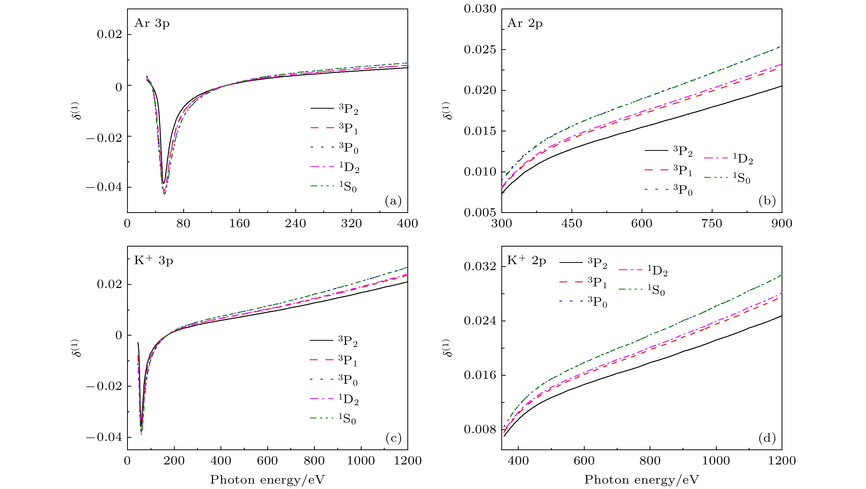
+ion are studied, in which, the dipole and the non-dipole parameters of photoelectron angular distribution are investigated systematically. It is found that the angular distributions of the first- and second-step electrons in sequential two-photon double ionization are similar and the two photoionization processes affect each other. Near the ionization threshold, the photoionization cross-sections and anisotropy parameters for the 3p shell and the 2p shell show a large difference. While away from the threshold, the cross-section and angular anisotropy parameters of the 3p and 2p shells show similar behaviors. At the position of Cooper minimum of the photoionization cross section, the contribution of the electric dipole is suppressed, and the non-dipole effect is obvious. The non-dipole effect leads to a forward-backward asymmetric distribution of photoelectrons relative to the direction of incident light. The results of this paper will be helpful in studying the nonlinear processes of photon and matter interaction in the XUV range.