SnO
2has the advantages of excellent photostability and can be prepared at low-temperature below 200 ℃. It is regarded as one of the excellent materials for the electron transport layer, and widely used in efficient and stable planar heterojunction perovskite solar cells. In this work, the low-cost, dense and uniform SnO
2electron transport layer is prepared by spin coating at low temperature (150 ℃) for perovskite solar cells with a structure of FTO/SnO
2/CH
3NH
3PbI
3(MAPbI
3)/Spiro-OMeTAD/Au. The crystallization and photoelectric properties of SnO
2electron transport layers prepared at different concentrations (2.5%–10%) at 150 ℃, and the influences of SnO
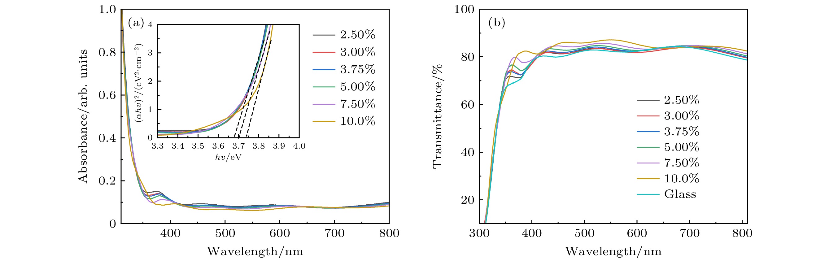
2electron transport layers on the formation of perovskite films and the performances of perovskite solar cells are discussed. By analyzing the scanning electron microscope (SEM), ultraviolet-visible light absorption spectrum (UV-Vis) and transmission spectrum of the SnO
2film, it is found that the coverage and light transmittance of the substrate and band gap of the SnO
2film increase as the SnO
2content increases, while the absorbance decreases. By analyzing the SEM, UV-Vis, X-ray diffraction (XRD) and steady-state photoluminescence spectrum (PL) analysis of the SnO
2/MAPbI
3thin film, it is found that the MAPbI
3deposited on the SnO
2layer with a concentration of 7.5% is uniform and pinhole-free, has the largest particle size and the best crystallinity, as well as more effective charge extraction capability and transport capability. By analyzing the electrochemical impedance (EIS) and external quantum efficiency (EQE) of the device, the SnO
2electron transport layer with a concentration of 7.5% has better interface contact and lower interface resistance, which is beneficial to reducing the recombination of carriers and improving the photoelectric conversion capability, The perovskite solar cells based on SnO
2layer prepared with a concentration of 7.5% reaches a photoelectric conversion efficiency of 15.82% (
V
oc= 1.06 V,
J
sc= 21.62 mA/cm
2, FF = 69.40%), After storing for 600 h in ambient air ((25±5) ℃, RH>70%) without encapsulation, its efficiency remains 92% of the initial efficiency. At the same time, we prepare flexible devices on flexible substrates (TIO/PEN) by using SnO
2precursor with a concentration of 7.5%, which exhibits good photovoltaic performance and achieves a photoelectric conversion efficiency of 13.12%, and storage time for 84 d in ambient air ((30±5) ℃, RH>70%) without encapsulation, its efficiency remains 48% of the initial efficiency. The PCE retains 78% of the initial efficiency after 1000 bending cycles with a bending radius of 3 mm. The study of optimizing the concentration of SnO
2has laid a foundation for improving the performance of flexible perovskite solar cells.