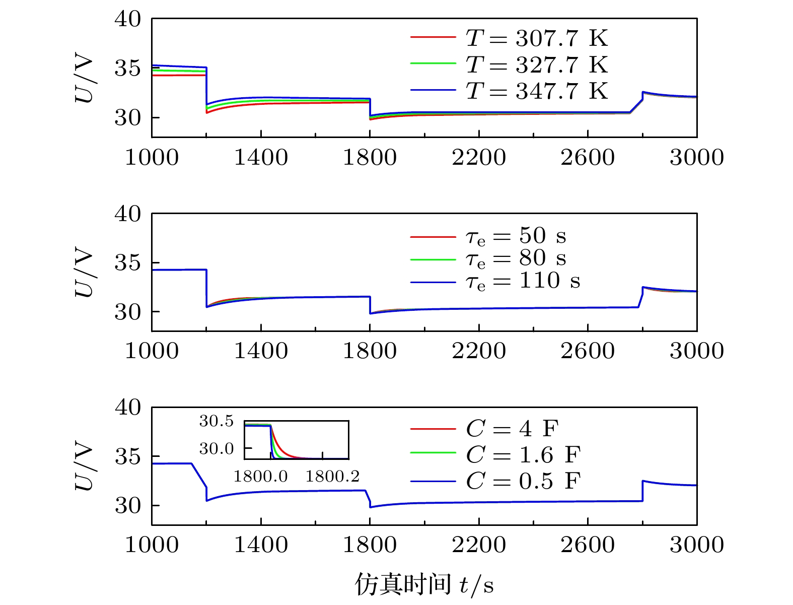
The current research on the dynamic performance of the proton exchange fuel cell is mostly aimed at the influence of operating parameters on the system, but does not involve with the dynamic characteristics of the cell on a multiple time scale nor the study of the corresponding multiple time scale model. In order to detect the dynamic changes of the proton exchange membrane fuel cell, the effects of various factors in the system on the output performance on different time scales are investigated. The effective partial pressure of oxygen and hydrogen are obtained by the mass diffusion equation and the ideal gas state equation, and the dynamic model is established according to the law of conservation of energy, the law of thermodynamics, and the electrochemical reaction equation. By setting the load mutations with a large/medium/small time scale dynamic duration of 0.6 s, 165 s, and16 min, respectively, the mechanism with which voltage suddenly changes when the load current changes abruptly is studied. Starting from the long time constant during which the dynamic performance takes effect, the control variable is used to analyze the double-layer charge. The influences of layer effect capacitance
C, fuel oxidant delay time constant
τ
e, and thermodynamic characteristics (temperature
T) on the dynamic performance ( initial values of variables:
C= 4 F,
τ
e= 80 s, and
T= 307.7 K) clarify the action intensities on different time scales. With the help of Matlab/Sumlink platform the simulation results are obtained and the correctness and effectiveness of the built model are verified. The simulation results show that the sudden change in voltage is due to the open circuit voltage and Ohmic polarization resistance, and the Ohmic resistance is dominant (the Ohmic overvoltage change value is 2 V, and the open circuit voltage change is 0.05 V), and the
Cpair dynamics on a small time scale (ms). The performance plays a leading role. Specifically,
τ
ehas a greater effect on the dynamic characteristics on a medium time scale (s), and
Thas a stronger effect on a large time scale (10
2–10
3s). Based on the above deduction, a multi-time scale model of the battery is derived. The research provides the reference and theoretical support for subsequent battery energy management, evaluation of dynamic performance, and precise control.