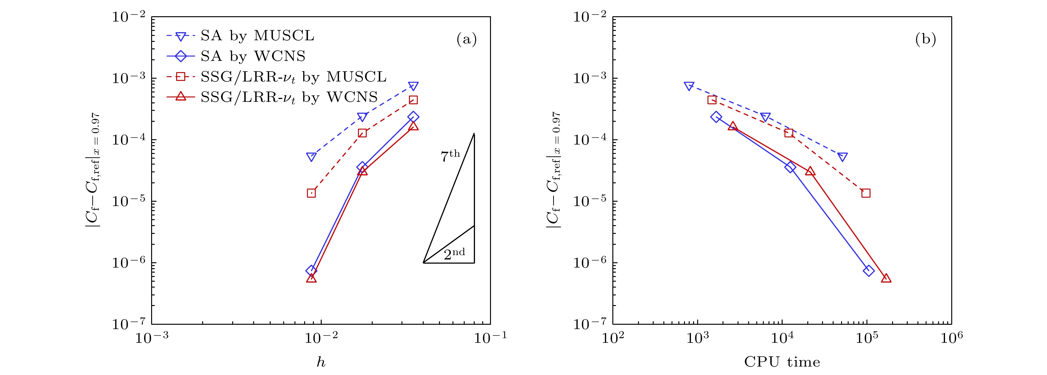
\begin{document}$k$\end{document}-\begin{document}$kL$\end{document} turbulence model, a new \begin{document}${\nu_t}$\end{document}-scale equation is constructed and used to couple the SSG/LRR model to form a so-called SSG/LRR-\begin{document}${\nu_t}$\end{document} Reynolds stress model. Four benchmark cases, including zero pressure gradient turbulent plate boundary layer, airfoil wake flow, supersonic square duck flow and separated flow over NACA0012 airfoil at 45 degree angle of attack, are carried out to test the new turbulence model. At the same time, high-order numerical schemes are used to discretize the turbulence equations in order to assess its numerical robustness. The results are compared with those of SA eddy viscosity model and SSG/LRR-\begin{document}$\omega$\end{document} Reynolds stress model. It is shown that the \begin{document}${\nu_t} $\end{document}-scale equation is strictly equal to zero at the viscous wall boundary. Compared with the traditional \begin{document}$\omega $\end{document}-scale, it has better numerical robustness. Along with this, the new model can be matched with the high-order numerical schemes and obtain a better efficiency in the mesh convergence. Moreover, the new model has the inherent advantage of Reynolds stress model in simulating the corner flow and has the potential in scale adaptive simulation of unsteady separated flow."> Preliminary study on Reynolds stress model based on <i>ν</i><sub><i>t</i></sub>-scale equation - 必威体育下载

Search

Article

x

留言板

姓名
邮箱
手机号码
标题
留言内容
验证码

downloadPDF
Citation:

    Chen Yan-Jun, Wang Sheng-Ye, Fu Xiang, Liu Wei
    PDF
    HTML
    Get Citation
    Metrics
    • Abstract views:3643
    • PDF Downloads:51
    • Cited By:0
    Publishing process
    • Received Date:08 March 2022
    • Accepted Date:10 April 2022
    • Available Online:01 August 2022
    • Published Online:20 August 2022

      返回文章
      返回