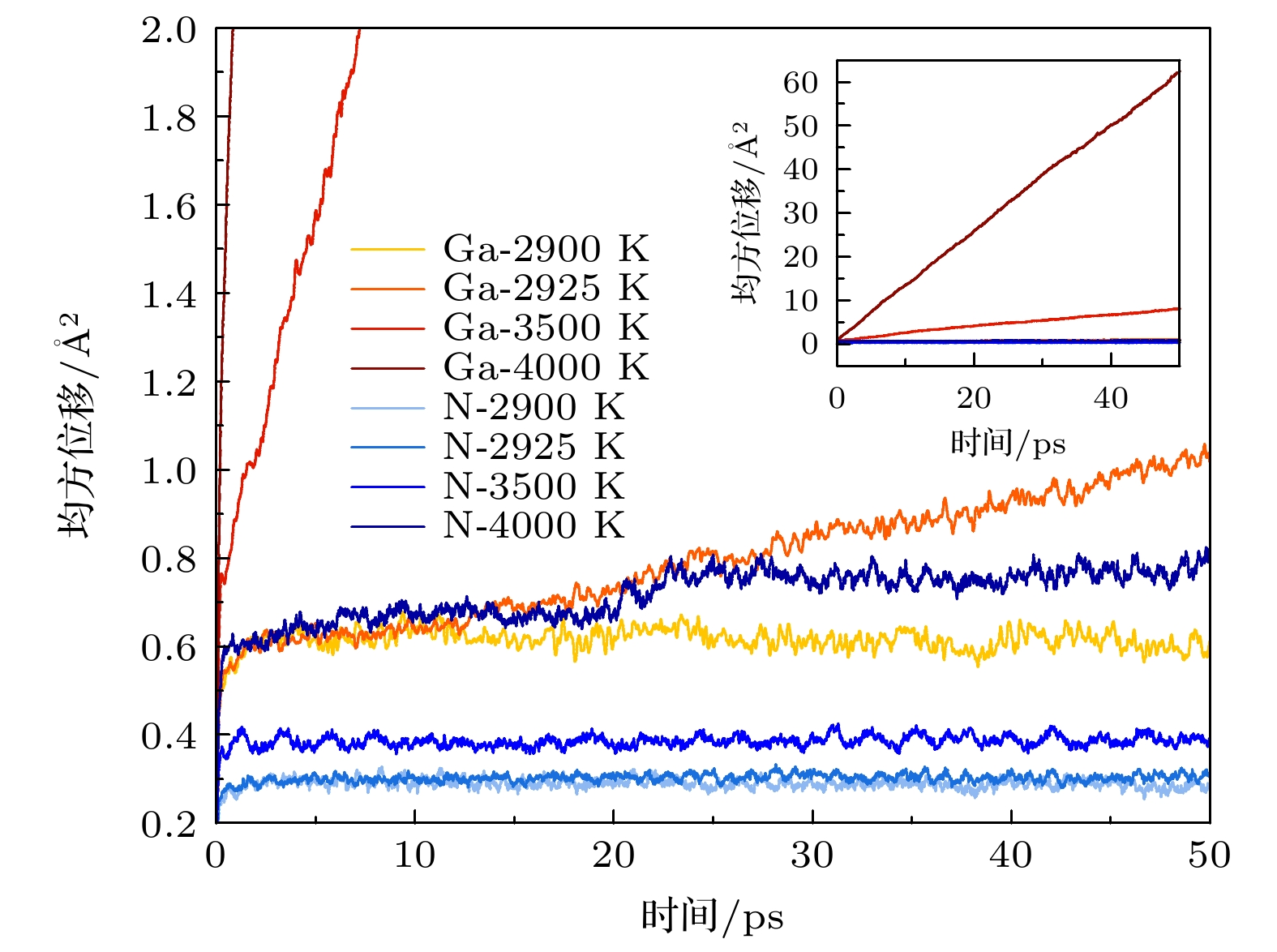
2020 Phys. Rev. B 102 235109). The melting temperature at 0 GPa is 2295 K obtained by extrapolating the GaN melting curve of the wurtzite structure. With the pressure increasing to 33.3 GPa, the melting curve of wurtzite structure in GaN intersects with the melting curve of rocksalt structure, and the melting temperatures of both structures increase with pressure increasing. It is found that GaN may have a superionic phase and the superionic phase transition occurs in the wurtzite structure at pressures greater than 2.0 GPa and temperatures above 2550 K, whereas the rocksalt structure undergoes a superionic phase transition at pressures and temperatures higher than 33.1 GPa and 4182 K, respectively, and both of the phase transition temperatures increase with pressure increasing. The slope of the phase boundary line of GaN is positive at high temperatures and gradually changes into a curve with a negative slope as the temperature decreases."> Phase diagram prediction and high pressure melting characteristics of GaN - 必威体育下载

Search

Article

x

留言板

姓名
邮箱
手机号码
标题
留言内容
验证码

downloadPDF
Citation:

    Lei Zhen-Shuai, Sun Xiao-Wei, Liu Zi-Jiang, Song Ting, Tian Jun-Hong
    PDF
    HTML
    Get Citation
    Metrics
    • Abstract views:4727
    • PDF Downloads:118
    • Cited By:0
    Publishing process
    • Received Date:22 March 2022
    • Accepted Date:14 June 2022
    • Available Online:28 September 2022
    • Published Online:05 October 2022

      返回文章
      返回