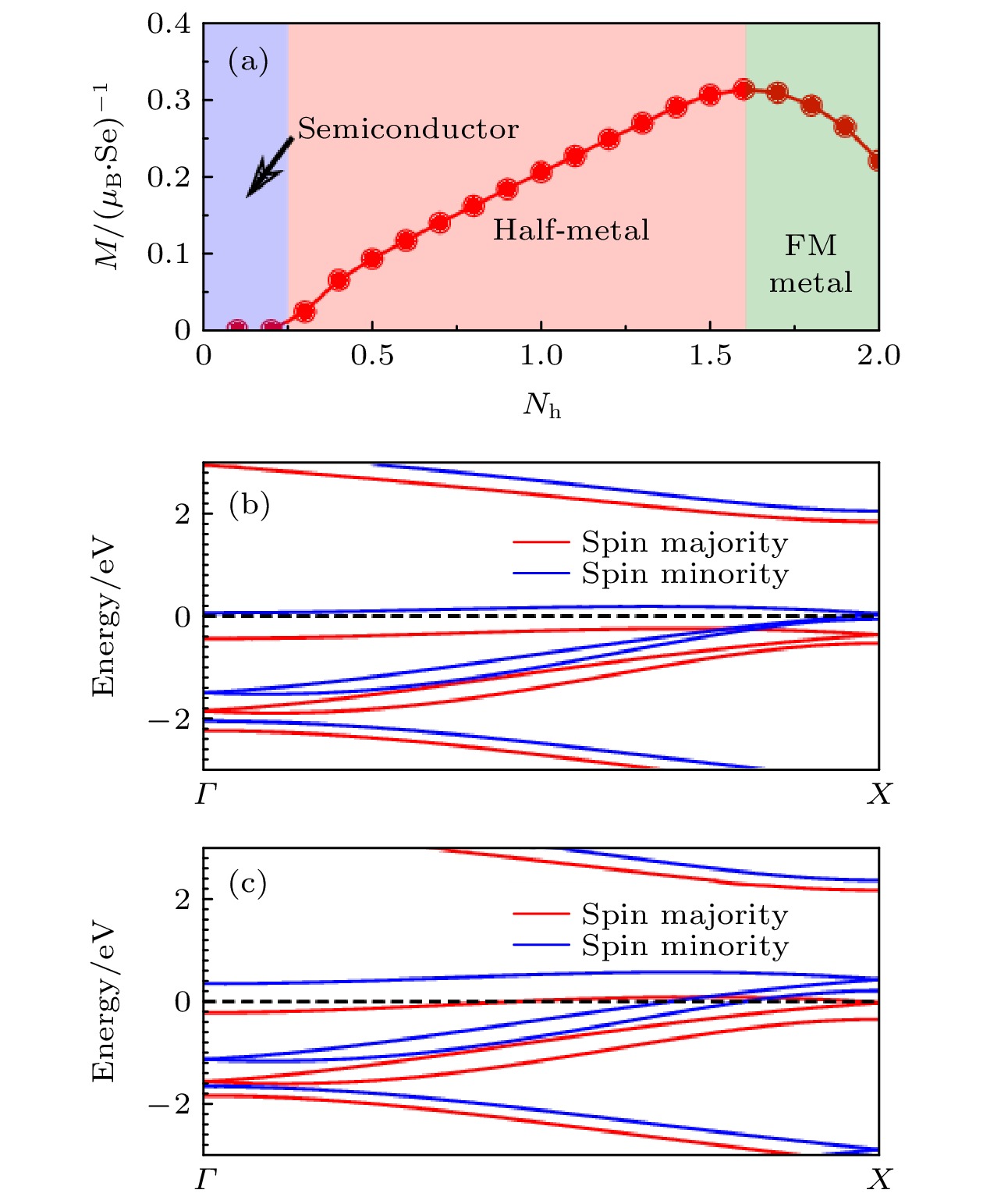
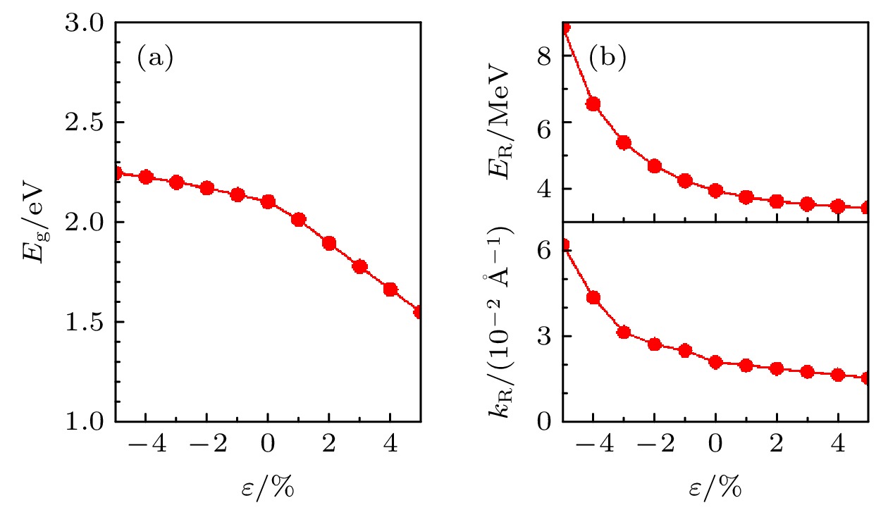
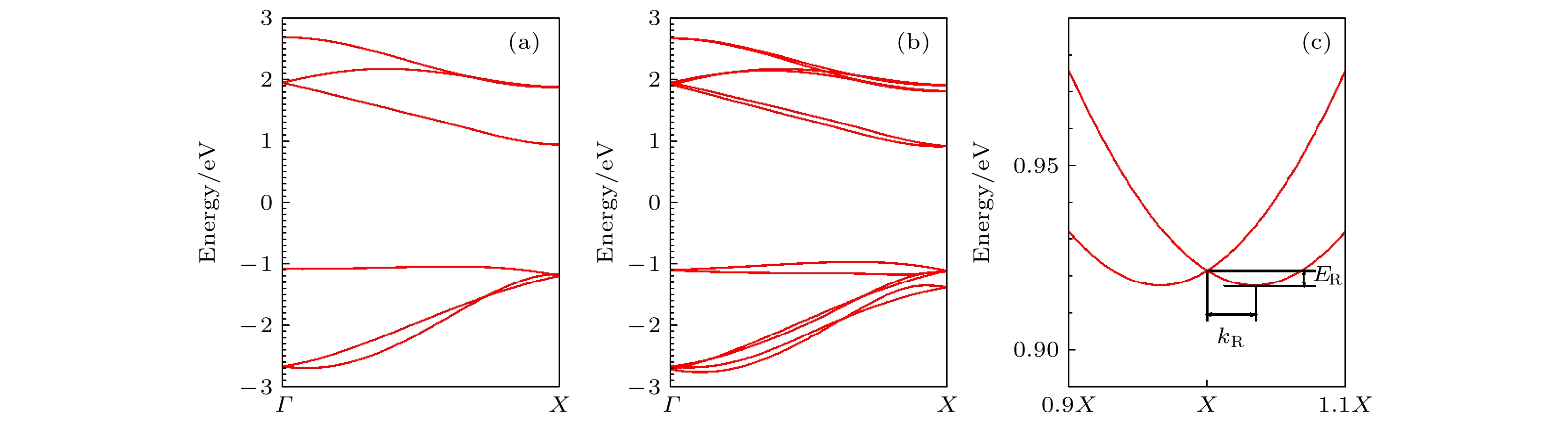
| [1] |
Duan Xiu-Ming, Yi Zhi-Jun.Theoretical study on regulatory mechanism of dielectric environmental screening effects on binding energy of two-dimensional InX(X= Se, Te) exciton. Acta Physica Sinica, 2023, 72(14): 147102.doi:10.7498/aps.72.20230528 |
| [2] |
Hong Lan, Ge Jun, Shuang Shan, Liu Da-Quan.Influence of Rashba effect and Zeeman effect on properties of bound magnetopolaron in an anisotropic quantum dot. Acta Physica Sinica, 2022, 71(1): 016301.doi:10.7498/aps.71.20210803 |
| [3] |
Sun Hai-Ming.Effects of Bi2Te3(111) and Al2O3(0001) substrates on electronic and topological properties of Bi(111) bilayer. Acta Physica Sinica, 2022, 71(13): 137101.doi:10.7498/aps.71.20220060 |
| [4] |
Zhang Ruo-Han, Ren Hui-Ying, He Lin.Flat bands and related novel quantum states in two-dimensional systems. Acta Physica Sinica, 2022, 71(12): 127302.doi:10.7498/aps.71.20220225 |
| [5] |
Wang Zhong-Rui, Jiang Yu-Hang.Physical properties of novel electronic states related to flat band in twisted two-dimensional quantum materials. Acta Physica Sinica, 2022, 71(12): 127202.doi:10.7498/aps.71.20220064 |
| [6] |
Su Xin, Huang Tian-Ye, Wang Jun-Zhuan, Liu Yuan, Zheng You-Liao, Shi Yi, Wang Xiao-Mu.Circular photogalvanic effect. Acta Physica Sinica, 2021, 70(13): 138501.doi:10.7498/aps.70.20210498 |
| [7] |
.Influence of Rashba effect and Zeeman effect on the properties of bound magnetopolaron in an Anisotropic Quantum Dot. Acta Physica Sinica, 2021, (): .doi:10.7498/aps.70.20210803 |
| [8] |
Wang Pan, Zong Yi-Xin, Wen Hong-Yu, Xia Jian-Bai, Wei Zhong-Ming.Electronic properties of two-dimensional Janus atomic crystal. Acta Physica Sinica, 2021, 70(2): 026801.doi:10.7498/aps.70.20201406 |
| [9] |
Hou Lu, Tong Xin, Ouyang Gang.First-principles study of atomic bond nature of one-dimensional carbyne chain under different strains. Acta Physica Sinica, 2020, 69(24): 246802.doi:10.7498/aps.69.20201231 |
| [10] |
Zhang Song-Ran, He Dai-Hua, Tu Hua-Yao, Sun yan, Kang Ting-Ting, Dai Ning, Chu Jun-Hao, Yu Guo-Lin.Magnetotransport properties and stress control of HgCdTe thin film. Acta Physica Sinica, 2020, 69(5): 057301.doi:10.7498/aps.69.20191330 |
| [11] |
Xia Shi-Qiang, Tang Li-Qin, Xia Shi-Qi, Ma Ji-Na, Yan Wen-Chao, Song Dao-Hong, Hu Yi, Xu Jing-Jun, Chen Zhi-Gang.Novel phenomena in flatband photonic structures: from localized states to real-space topology. Acta Physica Sinica, 2020, 69(15): 154207.doi:10.7498/aps.69.20200384 |
| [12] |
Liu Jia-Hao, Yang Xiao-Kuo, Wei Bo, Li Cheng, Zhang Ming-Liang, Li Chuang, Dong Dan-Na.Modeling of stress-regulated AND (OR) logic gate based on flipping preference of tilted nanomagnet. Acta Physica Sinica, 2019, 68(1): 017501.doi:10.7498/aps.68.20181621 |
| [13] |
Wei Ying-Qiang, Xu Lei, Peng Qi-Ming, Wang Jian-Pu.Rashba effect in perovskites and its influences on carrier recombination. Acta Physica Sinica, 2019, 68(15): 158506.doi:10.7498/aps.68.20190675 |
| [14] |
Li Ming, Yao Ning, Feng Zhi-Bo, Han Hong-Pei, Zhao Zheng-Yin.Effects of external electric field and Al content on g factor of wurtzite AlGaN/GaN quantum wells. Acta Physica Sinica, 2018, 67(5): 057101.doi:10.7498/aps.67.20172213 |
| [15] |
Yin Hai-Feng, Mao Li.Nonlinear excitation of localized plasmon in one-dimensional atomic chain. Acta Physica Sinica, 2016, 65(8): 087301.doi:10.7498/aps.65.087301 |
| [16] |
Li Li-Ming, Ning Feng, Tang Li-Ming.First-principles study of effects of quantum confinement and strain on the electronic properties of GaSb nanowires. Acta Physica Sinica, 2015, 64(22): 227303.doi:10.7498/aps.64.227303 |
| [17] |
Xu Yue, Zhang Ze-Yu, Jin Zuan-Ming, Pan Qun-Feng, Lin Xian, Ma Guo-Hong, Cheng Zhen-Xiang.Transient photostriction and strain modulation in La, Nb-codoped BiFeO3 thin films. Acta Physica Sinica, 2014, 63(11): 117801.doi:10.7498/aps.63.117801 |
| [18] |
Xin Wang, Wu Reng-Lai, Xue Hong-Jie, Yu Ya-Bin.Plasmonic excitations in mesoscopic-sized atomic chains:a tight-binding model. Acta Physica Sinica, 2013, 62(17): 177301.doi:10.7498/aps.62.177301 |
| [19] |
Xu Tian-Ning, Wu Hui-Zhen, Sui Cheng-Hua.Rashba effect in PbTe/PbSrTe asymmetric quantum wells. Acta Physica Sinica, 2008, 57(12): 7865-7871.doi:10.7498/aps.57.7865 |
| [20] |
Song Zhao-Quan, Xu Hui, Li Yan-Feng, Liu Xiao-Liang.The effects of non-diagonal disorder and dimensions in low-dimensional disordered electronic system. Acta Physica Sinica, 2005, 54(5): 2198-2201.doi:10.7498/aps.54.2198 |