Fe-based amorphous and nanocrystalline alloys are considered as the preferred dual-green energy-saving materials due to their unique magnetic properties, such as high permeability, low coercivity, and near-zero saturation magnetostriction. As such, they have received extensive attention in applications like magnetic core material for high-frequency transformers, common model chokes, ground fault interrupters, and rotors in motors, over the past decades. In this work, Fe
64.8Co
7.2Nb
4Si
4.8B
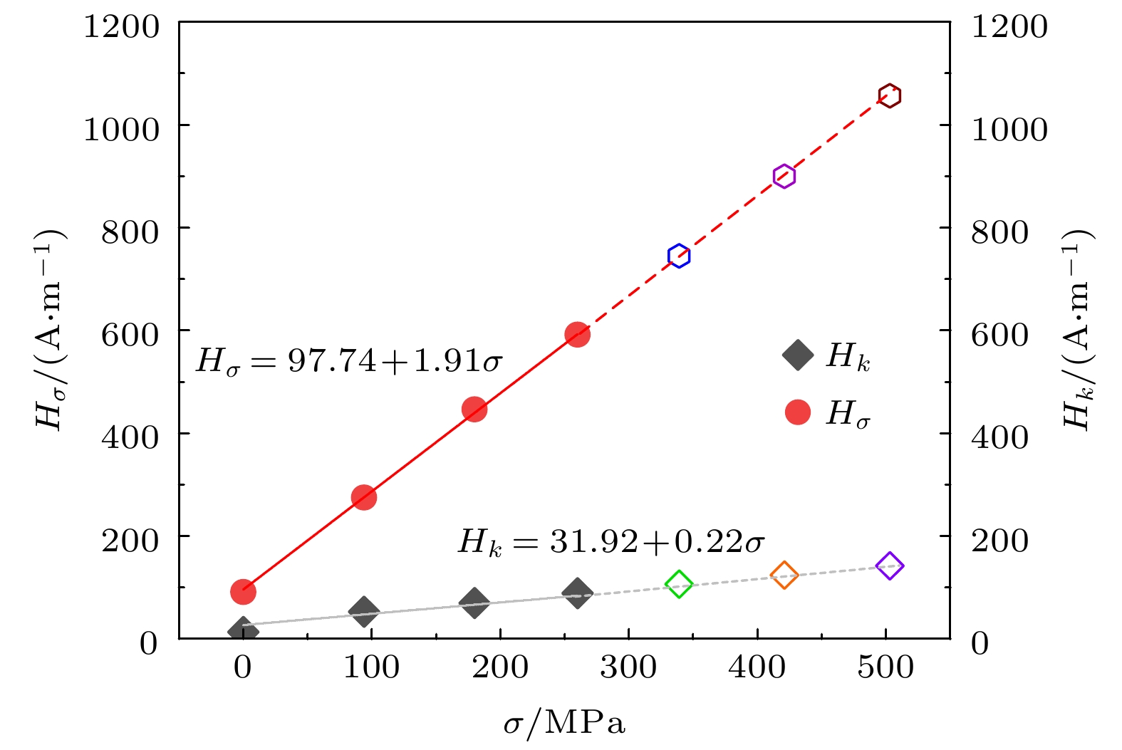
19.2(in atom percent) amorphous alloy ribbons are prepared by using the single roller quenching method, then subsequently subjected to multi-field coupling heating treatment in the air which includes heating by Joule heating effect and tensile stress field. Furthermore, the longitudinally driven giant magneto-impedance effect and magnetic domain structures of ribbons are observed by using 4294A impedance analyzer and magnetic force microscopy, respectively. The magneto-crystalline anisotropy field and stress anisotropy field of ribbons are analyzed by using X-ray diffraction, random anisotropy model, and numerical fitting. Meanwhile, the concept of magnetic anisotropy competing factor (
k) is proposed, from the viewpoint of magnetic anisotropy, a mechanism for regulating giant magneto-impedance effect of ribbons prepared with multi-field coupling is studied. It is found that the longitudinally driven giant magneto-impedance effect gradually transforms from the single peak to dome-like with tensile stress increasing. However, a spike and dome-like giant magneto-impedance effect appears during such transformation, which is composed of two parts: spike-like top and dome-like base. Based on the magnetic domain structure of ribbons, it is found that the typical stress-annealed transversal magnetic domain structure is observed in ribbons of
$k \leqslant 0.147$
, while nucleation and splitting phenomenon of new domains are observed at the transversal magnetic domain wall in ribbons of
k> 0.147. Both longitudinally driven giant magneto-impedance effect and domain structures provide evidence to support the competing inhibition effect of magnetic anisotropy which exists in Fe-based alloy ribbon. Therefore, it is suggested that Fe-based alloys exhibit excellent stress-sensitive properties that can be understood by the competing inhibition effects of magnetic anisotropy. It is further shown that the competing inhibition effect of magnetic anisotropy is the main reason for regulating the giant magneto-impedance effect of soft magnetic materials. This multi-field coupling Fe-based alloy has good application prospects in regulating magnetic properties of magnetic materials.