As a new graphene-based two-dimensional semiconductor material, C
3N has received extensive attention from researchers due to its excellent mechanical and electronic properties. Whether there is any difference in the phonon transport mechanism among different C
3N structures remains to be further investigated. Therefore, four kinds of C
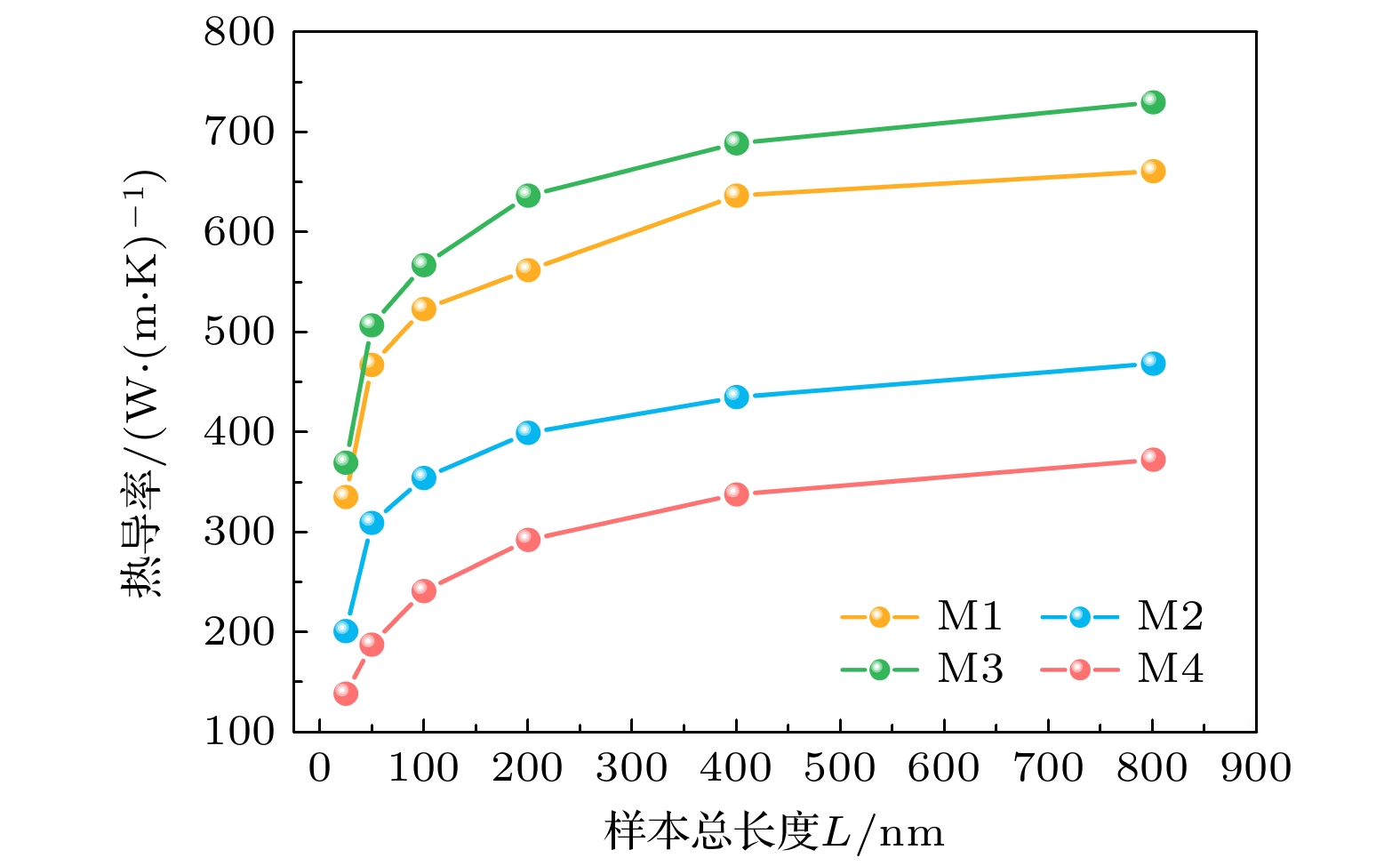
3N structures with different patterns are constructed in this paper, and their thermal conduction mechanisms are studied by the non-equilibrium molecular dynamics (NEMD) method. The research results are shown as follows. 1) Among these four patterns, the C
3N (M3) with the perfect structure has the highest thermal conductivity, followed by M1, and M4 has the lowest thermal conductivity. 2) Moreover, the thermal conductivities of C
3N with different patterns have obviously different size and temperature effects. When the sample length is short, the phonon transport is mainly ballistic transport, while diffusion transport dominates the heat transport when the sample length further increases. As the temperature increases, Umklapp scattering dominates the heat transport, making the thermal conductivity and temperature show a 1/
Ttrend. 3) Comparing with M3 , the patterns of M1 and M4 have large phonon band gaps, and their dispersion curves are further softened. At the same time, regardless of low-frequency or high-frequency phonons, localized features appear in the M1 and M4 (especially the M4), which has a significant inhibitory effect on thermal conductivity. This paper provides an idea for the better design of thermal management materials.