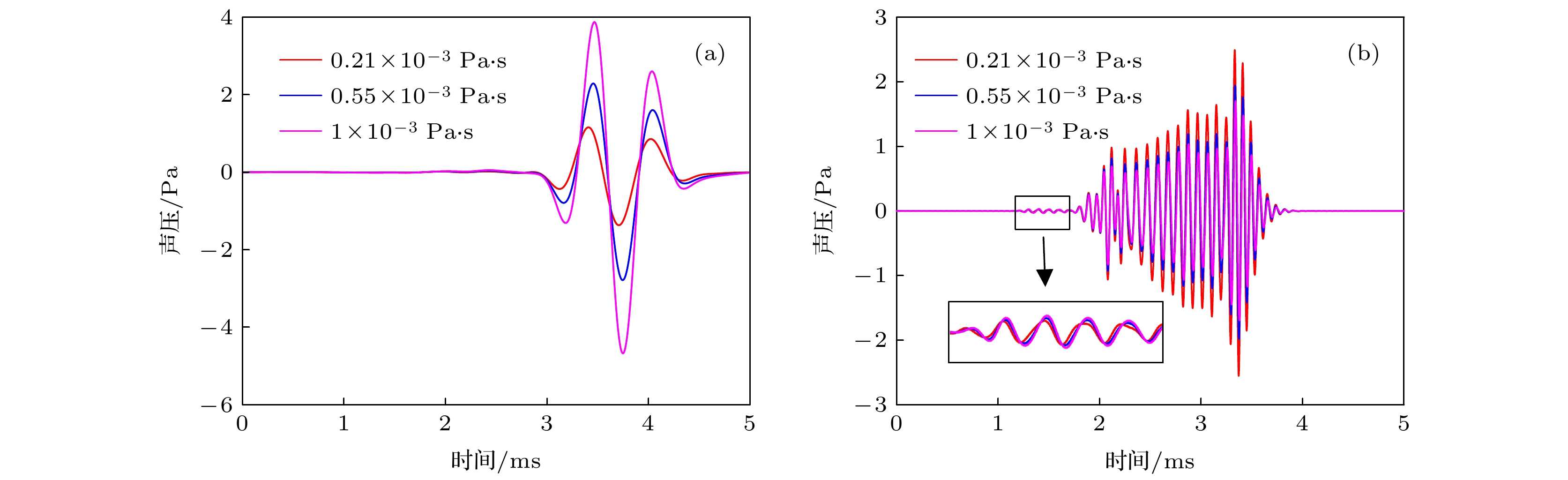
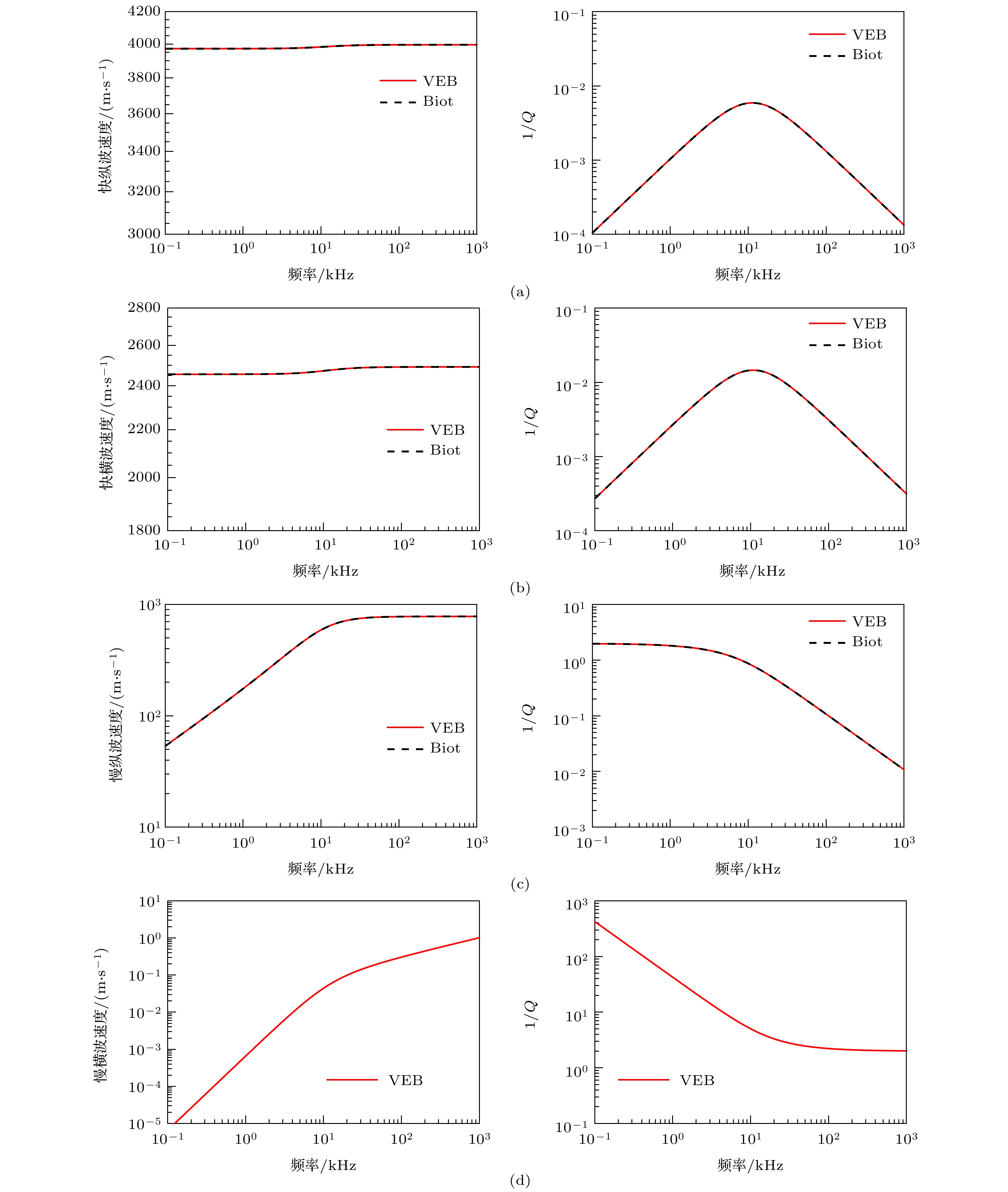
| [1] |
Sun Zong-Li, Kang Yan-Shuang, Zhang Jun-Xia.Volume viscosity of inhomogeneous fluids: a Maxwell relaxation model. Acta Physica Sinica, 2024, 73(6): 066601.doi:10.7498/aps.73.20231459 |
| [2] |
Liu Lin, Zhang Xiu-Mei, Wang Xiu-Ming.Wave propagation characteristics in porous medium containing a solid in pores. Acta Physica Sinica, 2022, 71(9): 099101.doi:10.7498/aps.71.20212012 |
| [3] |
Liu Ying, Chen Zhi-Hua, Zheng Chun.Kelvin-Helmholtz instability in anisotropic viscous magnetized fluid. Acta Physica Sinica, 2019, 68(3): 035201.doi:10.7498/aps.68.20181747 |
| [4] |
Cui Shu-Wen, Liu Wei-Wei, Zhu Ru-Zeng, Qian Ping.On the derivation of local mean pressure tensor for nonuniform systems and the analysis of uniform fluid. Acta Physica Sinica, 2019, 68(15): 156801.doi:10.7498/aps.68.20182189 |
| [5] |
Su Na-Na, Han Qing-Bang, Jiang Jian.Guided circumferential wave propagation characteristics for porous cylinder immersed in infinite fluid. Acta Physica Sinica, 2019, 68(8): 084301.doi:10.7498/aps.68.20182300 |
| [6] |
Wang Ting, Cui Zhi-Wen, Liu Jin-Xia, Wang Ke-Xie.Propagation of elastic waves in saturated porous medium containing a small amount of bubbly fluid. Acta Physica Sinica, 2018, 67(11): 114301.doi:10.7498/aps.67.20180209 |
| [7] |
Ai Xu-Peng, Ni Bao-Yu.Influence of viscosity and surface tension of fluid on the motion of bubbles. Acta Physica Sinica, 2017, 66(23): 234702.doi:10.7498/aps.66.234702 |
| [8] |
Wang Peng, Xue Yun, Lou Zhi-Mei.Dynamic instability of super-long elastic rod in viscous fluid. Acta Physica Sinica, 2017, 66(9): 094501.doi:10.7498/aps.66.094501 |
| [9] |
Chen Xi, Yu Whitney, Joglekar Yogesh N, Zheng You-Qu, Xu You-Sheng, Wu Feng-Min.The influence of different driving patterns on parity time-reversal symmetry. Acta Physica Sinica, 2014, 63(6): 060206.doi:10.7498/aps.63.060206 |
| [10] |
Jiang Tao, Ren Jin-Lian, Xu Lei, Lu Lin-Guang.A corrected smoothed particle hydrodynamics approach to solve the non-isothermal non-Newtonian viscous fluid flow problems. Acta Physica Sinica, 2014, 63(21): 210203.doi:10.7498/aps.63.210203 |
| [11] |
Lü Jun, Zhao Zheng-Yu, Zhou Chen.Properties of infrasonic wave nonlinear propagation in the inhomogeneous moving atmosphere. Acta Physica Sinica, 2011, 60(10): 104301.doi:10.7498/aps.60.104301 |
| [12] |
Cui Zhi-Wen, Liu Jin-Xia, Wang Chun-Xia, Wang Ke-Xie.Elastic waves in Maxwell fluid-saturated porous media with the squirt flow mechanism. Acta Physica Sinica, 2010, 59(12): 8655-8661.doi:10.7498/aps.59.8655 |
| [13] |
Wang Qiao-Zhan, Yu Run-Sheng, Qin Xiu-Bo, Li Yu-Xiao, Wang Bao-Yi, Jia Quan-Jie.Pore structure determination of mesoporous SiO2 thin films by slow positron annihilation spectroscopy. Acta Physica Sinica, 2009, 58(12): 8478-8483.doi:10.7498/aps.58.8478 |
| [14] |
Yang Rui, Xie Yong-Jun, Wang Yuan-Yuan, Fu Huan-Zhan.Slow wave propagation in metamaterial based nonradiative dielectric waveguides and its application. Acta Physica Sinica, 2008, 57(9): 5513-5518.doi:10.7498/aps.57.5513 |
| [15] |
Liu Yan-Zhu.Planar vibration of a thin elastic rod with circular cross section in viscous medium. Acta Physica Sinica, 2005, 54(11): 4989-4993.doi:10.7498/aps.54.4989 |
| [16] |
Cui Zhi-Wen, Wang Ke-Xie, Cao Zheng-Liang, Hu Heng-Shan.Slow waves propagation in BISQ poroelastic model. Acta Physica Sinica, 2004, 53(9): 3083-3089.doi:10.7498/aps.53.3083 |
| [17] |
Zhou Yu-Feng, Wang Yao-Jun, Ma Li, Gao Tian-Fu.. Acta Physica Sinica, 2000, 49(3): 480-486.doi:10.7498/aps.49.480 |
| [18] |
YANG WEI-HONG, HU XI-WEI.MAGNETOHYDRODYNAMICS WAVES IN A NONHOMEG-ENEOUS CURRENT-CARRYING CYLINDRICAL PLASMA. Acta Physica Sinica, 1996, 45(4): 595-600.doi:10.7498/aps.45.595 |
| [19] |
WANG HAN-TING, XIONG SHI-JIE.EFFECT OF ANHAMONICITY OF LAYERED TRANSVERSE-OPTICAL PHONONS ON HIGH-Tc SUPERCONDUCTIVITY. Acta Physica Sinica, 1992, 41(3): 506-510.doi:10.7498/aps.41.506 |
| [20] |
DAI WEN-LONG, HE XIAN-TU, HUO YU-PING, LIU ZHI-JING.SOLITON BEHAVIOR IN THE COUPLED SYSTEM OF LANGMUIR WAVES AND TRANSVERSE WAVES. Acta Physica Sinica, 1987, 36(1): 67-73.doi:10.7498/aps.36.67 |