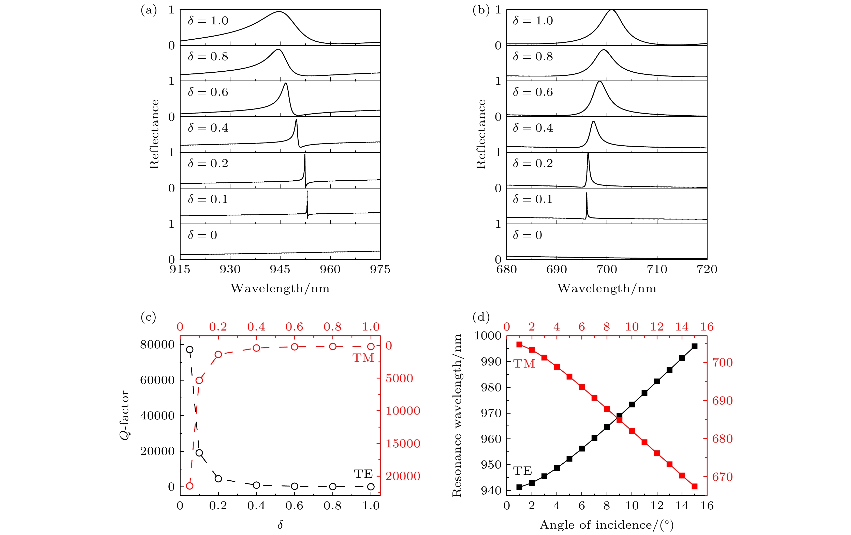
| [1] |
Liu Hui-Gang, Zhang Xiang-Yu, Nan Xue-Ying, Zhao Er-Gang, Liu Hai-Tao.All-dielectric metasurface two-parameter sensor based on quasi-bound states in continuum. Acta Physica Sinica, 2024, 73(4): 047802.doi:10.7498/aps.73.20231514 |
| [2] |
Meng Xiang-Yu, Li Tao, Yu Bin-Bin, Tai Yong-Hang.Exploring the tuning mechanism of multipolar quasi-continuous domain bound states in tetramer metasurface. Acta Physica Sinica, 2024, 73(10): 107801.doi:10.7498/aps.73.20240272 |
| [3] |
Tu Bing-Sheng.Precise measurements ofg-factors in bound states of few-electron ions. Acta Physica Sinica, 2024, 73(20): 203103.doi:10.7498/aps.73.20240683 |
| [4] |
Xia Zhao-Sheng, Liu Yu-Hang, Bao Zheng, Wang Li-Hua, Wu Bo, Wang Gang, Wang Hui, Ren Xin-Gang, Huang Zhi-Xiang.Strong circular dichroism chiral metasurfaces generated by quasi bound state in continuum domain. Acta Physica Sinica, 2024, 73(17): 178102.doi:10.7498/aps.73.20240834 |
| [5] |
Ren Yang, Li Zhen-Xiong, Zhang Lei, Cui Wei, Wu Xiong-Xiong, Huo Ya-Shan, He Zhi-Hui.Tunable continuous domain bound states based on Fabry-Perot cavities and their applications. Acta Physica Sinica, 2024, 73(17): 174205.doi:10.7498/aps.73.20240861 |
| [6] |
Wang Yue, Wang Hao-Jie, Cui Zi-Jian, Zhang Da-Chi.Bound states in continuum domain of double resonant ring metal metasurfaces. Acta Physica Sinica, 2024, 73(5): 057801.doi:10.7498/aps.73.20231556 |
| [7] |
Du Qian, Chen Yi-Hang.Enhancing third-harmonic generation by quasi bound states in continuum in silicon nanoparticle arrays. Acta Physica Sinica, 2021, 70(15): 154206.doi:10.7498/aps.70.20210332 |
| [8] |
Jiang Pei, Zhou Pei, Li Nian-Qiang, Mu Peng-Hua, Li Xiao-Feng.Time delay concealment and unpredictability enhancement of nanolasers under external cavity regulation. Acta Physica Sinica, 2021, 70(11): 114201.doi:10.7498/aps.70.20210049 |
| [9] |
Ling Wei-Jun, Xia Tao, Dong Zhong, Zuo Yin-Yan, Li Ke, Liu Qing, Lu Fei-Ping, Zhao Xiao-Long, Wang Yong-Gang.Passively Q-switched mode-locked low threshold Tm, Ho: LLF laser with an single walled carbon nanotubes saturable absorber. Acta Physica Sinica, 2018, 67(1): 014201.doi:10.7498/aps.67.20171748 |
| [10] |
Liu Chu, Guan Bao-Lu, Mi Guo-Xin, Liao Yi-Ru, Liu Zhen-Yang, Li Jian-Jun, Xu Chen.A low threshold single transverse mode 852 nm semiconductor laser diode. Acta Physica Sinica, 2017, 66(8): 084205.doi:10.7498/aps.66.084205 |
| [11] |
Yang Zhi-Gang, Wu Ting-Ting, Liu Jin-Ming.Remote state preparation via photonic Faraday rotation in low-Q cavities. Acta Physica Sinica, 2016, 65(2): 020302.doi:10.7498/aps.65.020302 |
| [12] |
Liu Li-Juan, Huang Wen-Bin, Diao Zhi-Hui, Zhang Gui-Yang, Peng Zeng-Hui, Liu Yong-Gang, Xuan Li.Low threshold distributed feedback laser based on scaffolding morphologic and holographic polymer dispersed liquid crystal gratings. Acta Physica Sinica, 2014, 63(19): 194202.doi:10.7498/aps.63.194202 |
| [13] |
Xu Yun, Li Yun-Peng, Jin Lu, Ma Xiang-Yang, Yang De-Ren.Low-threshold electrically pumped ultraviolet random lasing from ZnO film prepared by pulsed laser deposition. Acta Physica Sinica, 2013, 62(8): 084207.doi:10.7498/aps.62.084207 |
| [14] |
Wan Wen-Jian, Yin Rong, Tan Zhi-Yong, Wang Feng, Han Ying-Jun, Cao Jun-Cheng.Study of 2.9 THz quantum cascade laser based on bound-to-continuum transition. Acta Physica Sinica, 2013, 62(21): 210701.doi:10.7498/aps.62.210701 |
| [15] |
Chai Lu, Yan Shi, Xue Ying-Hong, Liu Qing-Wen, Wang Qing-Yue, Su Liang-Bi, Xu Xiao-Dong, Zhao Guang-Jun, Xu Jun.Luminescence properties of Yb3+/Na+ codoped CaF2 crystal and laser operation with low threshold. Acta Physica Sinica, 2007, 56(6): 3553-3558.doi:10.7498/aps.56.3553 |
| [16] |
Xue Ying-Hong, Wang Qing-Yue, Chai Lu, Liu Qing-Wen, Zhao Guang-Jun, Su Liang-Bi, Xu Xiao-Dong, Xu Jun.A novel LD pumped Yb:GSO laser operating at 1090 nm with low threshold. Acta Physica Sinica, 2006, 55(1): 456-459.doi:10.7498/aps.55.456 |
| [17] |
Ling Wei-Jun, Wei Zhi-Yi, Sun Jing-Hua, Wang Zhao-Hua, Tian Jin-Rong, Jia Yu-Lei, Wang Peng, Han Hai-Nian.Experimental study of femtosecond Ti:sapphire laser with low-threshold pump. Acta Physica Sinica, 2005, 54(9): 4182-4185.doi:10.7498/aps.54.4182 |
| [18] |
Ling Wei-Jun, Zheng Jia-An, Jia Yu-Lei, Wei Zhi-Yi.Theoretical study of the Ti:sapphire laser with low pump threshold. Acta Physica Sinica, 2005, 54(4): 1619-1623.doi:10.7498/aps.54.1619 |
| [19] |
Shi Qing-Fan, Zheng Jun-Juan, Wang Qi.Effect of microwave cavity Q-value on the threshold of instability and autooscilations. Acta Physica Sinica, 2004, 53(10): 3535-3539.doi:10.7498/aps.53.3535 |
| [20] |
ZHOU XIAO-XIN, LI BAI-WEN.CONTRIBUTION OF THE BOUND STATES AND CONTINUUM STATES OF AN ATOM IN INTENSE LASER FIELDS TO HIGH HARMONIC GENERATION . Acta Physica Sinica, 2001, 50(10): 1902-1906.doi:10.7498/aps.50.1902 |