\begin{document}$ \Delta {{\boldsymbol{H}}}_{{\rm{m}}{\rm{i}}{\rm{x}}} $\end{document} is corresponding to 0 for the rare earth site, –4 to –1 kJ/mol for the transition metal site, and –8.54 to –5.13 kJ/mol between rare earth and transition metal sites. It is suggested that all the thermodynamic parameters meet the criteria for the formation of single-phase medium- and high-entropy intermetallic compounds. The configuration entropy changes from 0.69R to 1.39R. The room temperature magnetic properties are significantly improved by the modulation of entropized design at rare earth and transition metal sublattices. The entropization enhances the saturation moments of all samples, which can be explained with a modified magnetic valence model. The value of \begin{document}${N}_{{\rm{sp}}}^{\uparrow }$\end{document} (the number of the electrons in the unpolarized sp conduction bands) increases from 0.3 to 0.4 after entropization, the indirect interaction between rare earth and transition metal sublattice is increased, the spin moment of s conducting electron as a medium of two sublattices is enhanced, and the magnetic moment is increased. The entropization also induces magnetic anisotropy to transform from basal plane to easy axis for the entropized design at transition metal sublattice and the coercivity of rare earth to increase."> Structures and room-temperature magnetic properties of entropy-modulated Gd<sub>2</sub>Co<sub>17</sub> based intermetallic compounds - 必威体育下载

Search

Article

x

留言板

姓名
邮箱
手机号码
标题
留言内容
验证码

downloadPDF
Citation:

    Dong Xiao-Peng, Zhao Xing, Yin Lin-Han, Peng Si-Qi, Wang Jing-Nan, Guo Yong-Quan
    PDF
    HTML
    Get Citation
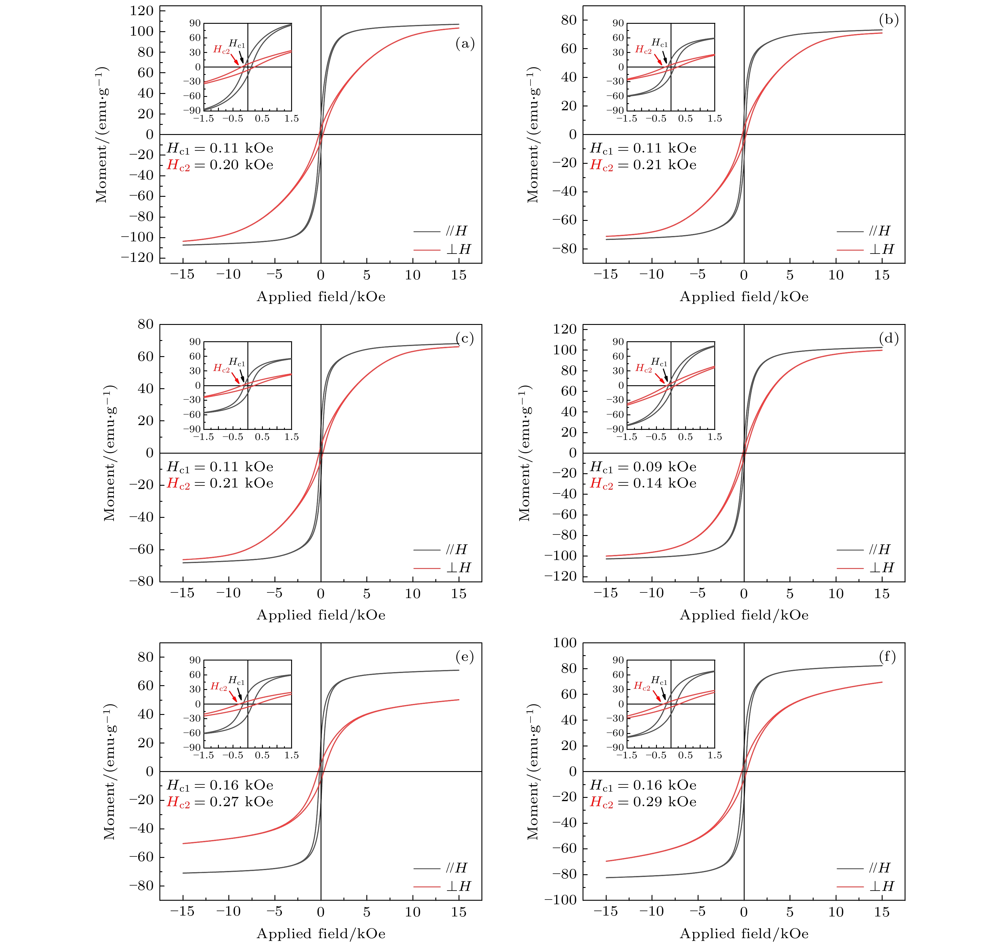
    • The entropy-modulated material has been a hot topic due to its unique design concept and excellent properties. However, previous studies of entropy-modulated materials mainly focused on the alloys with simple face-centered cubic, or body-centered cubic, or hexagonal close-packed structures. In this work, the design concept of entropy-modulation is introduced into Gd 2Co 17based intermetallic compound, and the effect of high configuration entropy on the structural stabilization and room-temperature magnetic properties of Gd 2Co 17based intermetallic compound are studied systematically. The samples are prepared by vacuum Arc melting technology in an ultrahigh-purity Ar atmosphere and followed by annealing at 1000 ℃ for 8 days and finally by quenching in cool water. The fine powders are prepared by grinding the ingots in an agate mortar. The powder XRD and SEM-EDS are used to check the crystal structures and chemical compositions. To study the magnetic properties, the column-like samples are prepared by mixing the fine powder and epoxy with a weight ratio of 1∶1, and then aligned under an applied field of 1 T at room temperature. The high configuration entropy is found to play an important role in the structural stabilization and magnetic properties of Gd 2Co 17based medium- and high-entropy intermetallic compounds. The XRD patterns and Rietveld structural refinement results confirm that all the samples are single-phase. The structure depends on the effective atomic radius R A, the structure of entropized Gd 2Co 17based intermetallics can be stabilized into rhombohedral Th 2Zn 17-type with R A> 1.416 or hexagonal Th 2Ni 17-type with R A< 1.4105. According to thermodynamic calculations of entropized Gd 2Co 17intermeatllics, the atomic radius difference Δ rranges from 0.55% to 1.81%, and the mixing enthalpy $ \Delta {{\boldsymbol{H}}}_{{\rm{m}}{\rm{i}}{\rm{x}}} $ is corresponding to 0 for the rare earth site, –4 to –1 kJ/mol for the transition metal site, and –8.54 to –5.13 kJ/mol between rare earth and transition metal sites. It is suggested that all the thermodynamic parameters meet the criteria for the formation of single-phase medium- and high-entropy intermetallic compounds. The configuration entropy changes from 0.69R to 1.39R. The room temperature magnetic properties are significantly improved by the modulation of entropized design at rare earth and transition metal sublattices. The entropization enhances the saturation moments of all samples, which can be explained with a modified magnetic valence model. The value of ${N}_{{\rm{sp}}}^{\uparrow }$ (the number of the electrons in the unpolarized sp conduction bands) increases from 0.3 to 0.4 after entropization, the indirect interaction between rare earth and transition metal sublattice is increased, the spin moment of s conducting electron as a medium of two sublattices is enhanced, and the magnetic moment is increased. The entropization also induces magnetic anisotropy to transform from basal plane to easy axis for the entropized design at transition metal sublattice and the coercivity of rare earth to increase.
        [1]

        [2]

        [3]

        [4]

        [5]

        [6]

        [7]

        [8]

        [9]

        [10]

        [11]

        [12]

        [13]

        [14]

        [15]

        [16]

        [17]

        [18]

        [19]

        [20]

        [21]

        [22]

        [23]

        [24]

        [25]

        [26]

        [27]

        [28]

        [29]

        [30]

        [31]

        [32]

        [33]

        [34]

        [35]

        [36]

      • 样品 原子半径差 ${{\Delta } }r$/% ${\rm{混} }{\rm{合} }{\rm{焓} }\Delta {{\boldsymbol{H}}}_{ {\rm{m} }{\rm{i} }{\rm{x} } }$/(kJ·mol–1) 混合熵 $\Delta {S}_{ {\rm{mix} } } /R$
        稀土位 金属位 稀土位-金属位
        Gd2Co17 –8.29 0
        Gd2(Co1/2Fe1/2)17 0.79 –1.00 –5.13 0.69
        Gd2(Co1/3Fe1/3Ni1/3)17 0.99 –1.33 –7.85 1.10
        Gd2(Co1/4Fe1/4Ni1/4Mn1/4)17 1.81 –4.00 –8.38 1.39
        (Gd1/2Tb1/2)2Co17 0.55 0 –8.48 0.69
        (Gd1/3Tb1/3Dy1/3)2Co17 0.69 0 –8.54 1.10
        (Gd1/4Tb1/4Dy1/4Ho1/4)2Co17 0.83 0 –8.48 1.39
        DownLoad: CSV

        样品 a c V3 M(20) F(20)
        Gd2Co17 8.378(0) 12.206(6) 742.0(0) 28 27
        Gd2(Co1/2Fe1/2)17 8.458(0) 12.409(6) 768.8(2) 17 14
        Gd2(Co1/3Fe1/3Ni1/3)17 8.444(4) 12.254(1) 756.6(7) 23 23
        Gd2(Co1/4Fe1/4Ni1/4Mn1/4)17 8.507(0) 8. 267(8) 518.1(7) 49 39
        (Gd1/2Tb1/2)2Co17 8.332(3) 8.133(1) 489.0(1) 46 52
        (Gd1/3Tb1/3Dy1/3)2Co17 8.363(1) 12.203(0) 739.1(5) 28 28
        (Gd1/4Tb1/4Dy1/4Ho1/4)2Co17 8.333(6) 8.125(6) 488.7(1) 44 45
        DownLoad: CSV

        元素 Gd2(Co1/3Fe1/3Ni1/3)17 Gd2(Co1/4Fe1/4Ni1/4Mn1/4)17
        质量百分比/% 原子百分比/% 质量百分比/% 原子百分比/%
        Gd 24.5 10.6 26.0 11.3
        Co 26.1 30.3 18.9 21.9
        Fe 24.0 29.4 16.9 20.7
        Ni 25.4 29.6 20.1 23.4
        Mn 18.1 22.7
        DownLoad: CSV

        样品 Gd2Co17 Gd2(Co1/2Fe1/2)17 Gd2(Co1/3Fe1/3Ni1/3)17 (Gd1/3Tb1/3Dy1/3)2Co17
        空间群 ${R}\bar3{m}$ ${R}\bar3{m}$ ${R}\bar{\text{3} }{m}$ ${R}\bar3{m}$
        a 8.375(2) 8.454(5) 8.444(7) 8.358(0)
        c 12.200(4) 12.413(7) 12.254(3) 12.185(7)
        V3 741.131(2) 768.436(1) 756.817(0) 737.200(9)
        稀土位 Gd Gd Gd Gd, Tb, Dy
        6c (0, 0,z) (z= 0.34369) (z= 0.34188) (z= 0.33731) (z= 0.34197)
        占位率/% 100 100 100 各33.33
        金属位 Co Co, Fe Fe, Co, Ni Co
        6c (0, 0,z) (z= 0.09431) (z= 0.08016) (z= 0.08100) (z= 0.09567)
        占位率/% 100 各50 各33.33 100
        9d (1/2, 0, 1/2)
        占位率/% 100 各50 各33.33 100
        18f (x, 0, 0) (x= 0.28942) (x= 0.30352) (x= 0.30607) (x= 0.29175)
        占位率/% 100 各50 各33.33 100
        18h (x, 1–x,z) (x= 0.16826;z= 0.48728) (x= 0.50226;z= 0.15830) (x= 0.16629;z= 0.49090) (x= 0.16783;z= 0.48701)
        占位率/% 100 各50 各33.33 100
        Rp/% 5.144 8.110 8.830 5.605
        RWP/% 6.865 10.611 12.690 7.057
        DownLoad: CSV

        样品 Gd2(Co1/4Fe1/4Ni1/4Mn1/4)17 (Gd1/2Tb1/2)2Co17 (Gd1/4Tb1/4Dy1/4Ho1/4)2Co17
        空间群 P63/mmc P63/mmc P63/mmc
        a 8.501(6) 8.329(5) 8.332(9)
        c 8.265(3) 8.130(4) 8.124(4)
        V3 517.357(3) 488.512(1) 488.561(0)
        稀土位 Gd Gd, Tb Gd, Tb, Dy, Ho
        2b (0, 0, 1/4)
        占位率/% 100 各50 各25
        2d (1/3, 2/3, 3/4)
        占位率/% 100 各50 各25
        金属位 Fe, Co, Ni, Mn Co Co
        4f (1/3, 2/3,z) (z= 0.14285) (z= 0.12127) (z= 0.13757)
        占位率/% 各25 100 100
        6g (1/2, 0, 0)
        占位率/% 各25 100 100
        12j (x,y, 1/4) (x= 0.32333;y= –0.02248) (x= 0.33032;y= 0.96090) (x= 0.32409;y= 0.96806)
        占位率/% 各25 100 100
        12k(x, 2x,z) (x= 0.16182;z= –0.11890) (x= 0.16585;z= 0.98326) (x= 0.16655;z= 0.98716)
        占位率/% 各25 100 100
        Rp/% 7.006 8.07 9.07
        RWP/% 8.942 10.50 11.80
        DownLoad: CSV

        样品 晶体结构 有效原子半径RA
        Gd2Co17 菱方 1.4262
        Gd2(Co1/2Fe1/2)17 菱方 1.4330
        Gd2(Co1/3Fe1/3Ni1/3)17 菱方 1.4334
        Gd2(Co1/4Fe1/4Ni1/4Mn1/4)17 六方 1.3996
        (Gd1/2Tb1/2)2Co17 六方 1.4166
        (Gd1/3Tb1/3Dy1/3)2Co17 菱方 1.4105
        (Gd1/4Tb1/4Dy1/4Ho1/4)2Co17 六方 1.4056
        DownLoad: CSV

        取向样品 拟合度 Nμ/(emu·g–1) Nμ/μB
        Gd2(Co1/2Fe1/2)17 0.99887 109.56395±0.02882 25.30
        Gd2(Co1/3Fe1/3Ni1/3)17 0.99630 74.23084±0.03279 17.19
        Gd2(Co1/4Fe1/4Ni1/4Mn1/4)17 0.99644 68.97675±0.02946 15.87
        (Gd1/2Tb1/2)2Co17 0.99985 104.73245±0.01038 24.71
        (Gd1/3Tb1/3Dy1/3)2Co17 0.99844 71.71314±0.01977 16.96
        (Gd1/4Tb1/4Dy1/4Ho1/4)2Co17 0.99837 83.60305±0.02565 19.81
        DownLoad: CSV

        二元R2T17 晶体结构 饱和磁矩Nμ/μB 居里温度Tc/K 磁各向异性
        Gd2Co17 菱方 13.5—14.4 1209—1240 基面
        Gd2Fe17 六方 21—21.5 460—485 基面
        Gd2Ni17 六方 8.8—9.36 187—205
        Tb2Co17 菱方 8.4—10.7 1180—1195 基面
        Dy2Co17 六方 7—8.3 1152—1188 基面
        Ho2Co17 六方 5.8—7.7 1173—1183 基面
        熵调控Gd2Co17 晶体结构 饱和磁矩Nμ/μB 理论磁矩Nμ/μB 磁各向异性
        Gd2(Co1/2Fe1/2)17 菱方 25.30 17.25—17.95 易轴
        Gd2(Co1/3Fe1/3Ni1/3)17 菱方 17.19 14.43—15.09 易轴
        Gd2(Co1/4Fe1/4Ni1/4Mn1/4)17 六方 15.87 易轴
        (Gd1/2Tb1/2)2Co17 六方 24.71 10.95—12.55 基面
        (Gd1/3Tb1/3Dy1/3)2Co17 菱方 16.96 9.63—12.87 基面
        (Gd1/4Tb1/4Dy1/4Ho1/4)2Co17 六方 19.81 8.68—10.28 基面
        DownLoad: CSV

        样品 实验
        磁矩/μB
        理论
        磁矩/μB
        $ {N}_{{\rm{s}}{\rm{p}}}^{\uparrow } $
        Gd2Co17 13.5—14.4 14.40 0.30
        Gd2(Co1/2Fe1/2)17 25.30 26.70 0.40
        Gd2(Co1/3Fe1/3Ni1/3)17 17.19 18.20 0.40
        Gd2(Co1/4Fe1/4Ni1/4Mn1/4)17 15.87 13.95 0.40
        DownLoad: CSV
      • [1]

        [2]

        [3]

        [4]

        [5]

        [6]

        [7]

        [8]

        [9]

        [10]

        [11]

        [12]

        [13]

        [14]

        [15]

        [16]

        [17]

        [18]

        [19]

        [20]

        [21]

        [22]

        [23]

        [24]

        [25]

        [26]

        [27]

        [28]

        [29]

        [30]

        [31]

        [32]

        [33]

        [34]

        [35]

        [36]

      • [1] Chen Zhi-Peng, Ma Ya-Nan, Lin Xue-Ling, Pan Feng-Chun, Xi Li-Ying, Ma Zhi, Zheng Fu, Wang Yan-Qing, Chen Huan-Ming.Electronic structure and mechanical properties of Nb-doped -TiAl intermetallic compound. Acta Physica Sinica, 2017, 66(19): 196101.doi:10.7498/aps.66.196101
        [2] Zhang Lu-Shan, Yu Hong-Fei, Guo Yong-Quan.Structural analysis of FeTe alloy and its superconducting film preparation. Acta Physica Sinica, 2012, 61(1): 016101.doi:10.7498/aps.61.016101
        [3] Zhang Dong, Lu Xi-Rui, Yang Yan-Kai, Cui Chun-Long, Chen Meng-Jun.Capability of resisting γ-ray irradiation and Rietveld structurerefinement of zircon. Acta Physica Sinica, 2011, 60(7): 078901.doi:10.7498/aps.60.078901
        [4] Yu Hong-Fei, Zhang Lu-Shan, Wu Xiao-Hui, Guo Yong-Quan.Structure and electromagnetic transport properties of compound NdNi2Ge2. Acta Physica Sinica, 2011, 60(10): 107306.doi:10.7498/aps.60.107306
        [5] Liu Fu-Sheng, Chen Xian-Peng, Xie Hua-Xing, Ao Wei-Qin, Li Jun-Qin.Negative thermal expansion of Sc2-xGaxW3O12 solid solution. Acta Physica Sinica, 2010, 59(5): 3350-3356.doi:10.7498/aps.59.3350
        [6] Hao Yan-Ming, Wang Ling-Ling, Yan Da-Li, An Li-Qun.Structure and magnetic properties of Sm2Fe17-xCrxcompound prepared by arc melting. Acta Physica Sinica, 2009, 58(10): 7222-7226.doi:10.7498/aps.58.7222
        [7] Chen Yi, Shen Jiang.Theoretical study on structural properties for rare earth intermetallic compounds RFe2Zn20-xInx. Acta Physica Sinica, 2009, 58(13): 146-S150.doi:10.7498/aps.58.146
        [8] Zhang Li-Gang, Chen Jing, Zhu Bo-Quan, Li Ya-Wei, Wang Ru-Wu, Li Yun-Bao, Zhang Guo-Hong, Li Yu.Study on the magnetic entropy change and magnetic phase transition of NaZn13-type LaFe13-xAlxCy compounds. Acta Physica Sinica, 2006, 55(10): 5506-5510.doi:10.7498/aps.55.5506
        [9] Shen Jun, Li Yang-Xian, Hu Feng-Xia, Wang Guang-Jun, Zhang Shao-Ying.Magnetic properties and magnetic entropy change of Ce2Fe16Al near Curie temperature. Acta Physica Sinica, 2003, 52(5): 1250-1254.doi:10.7498/aps.52.1250
        [10] Wang Wen-Quan, Yan Yu, Wang Xiang-Qun, Wang Xue-Feng, Su Feng, Jin Han-Min.Structural and magnetic properties of Gd3 Co29-xCrx compounds. Acta Physica Sinica, 2003, 52(3): 647-651.doi:10.7498/aps.52.647
        [11] Zhang Li-Gang, Li Yun-Biao, Zhao Shao-Ying, Shen Bao-Gen.. Acta Physica Sinica, 2002, 51(4): 913-916.doi:10.7498/aps.51.913
        [12] GUO GUANG-HUA, R.Z.LEVITIN.SPONTANEOUS AND FIELD-INDUCED MAGNETIC PHASE TRANSITIONS IN THE INTERMETALLIC COMPOUND DyMn2Ge2. Acta Physica Sinica, 2001, 50(2): 313-318.doi:10.7498/aps.50.313
        [13] GUO GUANG-HUA, R.Z.LEVITIN.SPONTANEOUS MAGNETIC PHASE TRANSITION AND MAGNETOELASTIC ANOMALIES AT TRANSITION S IN INTERMETALLIC COMPOUNDS RMn2Ge2 (R=La,Pr,Nd,Sm,Gd,Tb, Y). Acta Physica Sinica, 2000, 49(9): 1838-1845.doi:10.7498/aps.49.1838
        [14] .. Acta Physica Sinica, 2000, 49(2): 355-360.doi:10.7498/aps.49.355
        [15] Yang Dong, Wang Jian-Li, Tang Ning, Shen Yu-Ping, Yang Fu-Ming.Structures and Magnetic Properties of 3:29-Type Gd-Fe-Co-Cr Compounds. Acta Physica Sinica, 1999, 48(13): 80-86.doi:10.7498/aps.48.80
        [16] ZHANG LI-GANG, ZHANG SHAO-YING, ZHANG HONG-WEI.STRUCTURAL AND MAGNETIC PROPERTIES OF Gd Fe Co Ga COMPOUNDS WITH 2∶17 TYPE STRUCTURE. Acta Physica Sinica, 1997, 46(11): 2241-2249.doi:10.7498/aps.46.2241
        [17] YANG YING-CHANG, KONG LIN-SHU, ZHANG XIAO-DONG, YAO JIA-BIN, CHENG BEN-PEI, KONG JIE.STRUCTURE AND INTRINSIC MAGNETIC PROPERTIES OF R2Fe17C COMPOUNDS. Acta Physica Sinica, 1993, 42(7): 1186-1192.doi:10.7498/aps.42.1186
        [18] Yang Ying-chang; Kong Lin-shu; Zhang yiao-dong; Jiao Jia-bin; Cheng Ben-pei;Kong Jie.STRUCTURE AND INTRINSIC MAGNETIC PROPERTIES OF R_2Fe_17_C COMPOUNDS. Acta Physica Sinica, 1991, 40(7): 1186-1192.doi:10.7498/aps.40.1186
        [19] YANG YING-CHANG, KONG LIN-SHU, CHENG BEN-PEI.STRUCTURAL AND MAGNETIC PROPERTIES OF Sm (Ti, Fe)12 INTERMETALLIC COMPOUNDS. Acta Physica Sinica, 1988, 37(9): 1534-1539.doi:10.7498/aps.37.1534
        [20] GUO HOI-QUN, ZHAO JIAN-GAO, WANG ZHEN-XI, XIE KAN, SHEN BAO-GEN.THE GIANT MAGNETOSTRICTION OF (Tb,Dy)Fe2ALLOYS. Acta Physica Sinica, 1979, 28(1): 121-124.doi:10.7498/aps.28.121
      Metrics
      • Abstract views:2827
      • PDF Downloads:55
      • Cited By:0
      Publishing process
      • Received Date:18 October 2022
      • Accepted Date:13 February 2023
      • Available Online:31 March 2023
      • Published Online:20 May 2023

        返回文章
        返回