-
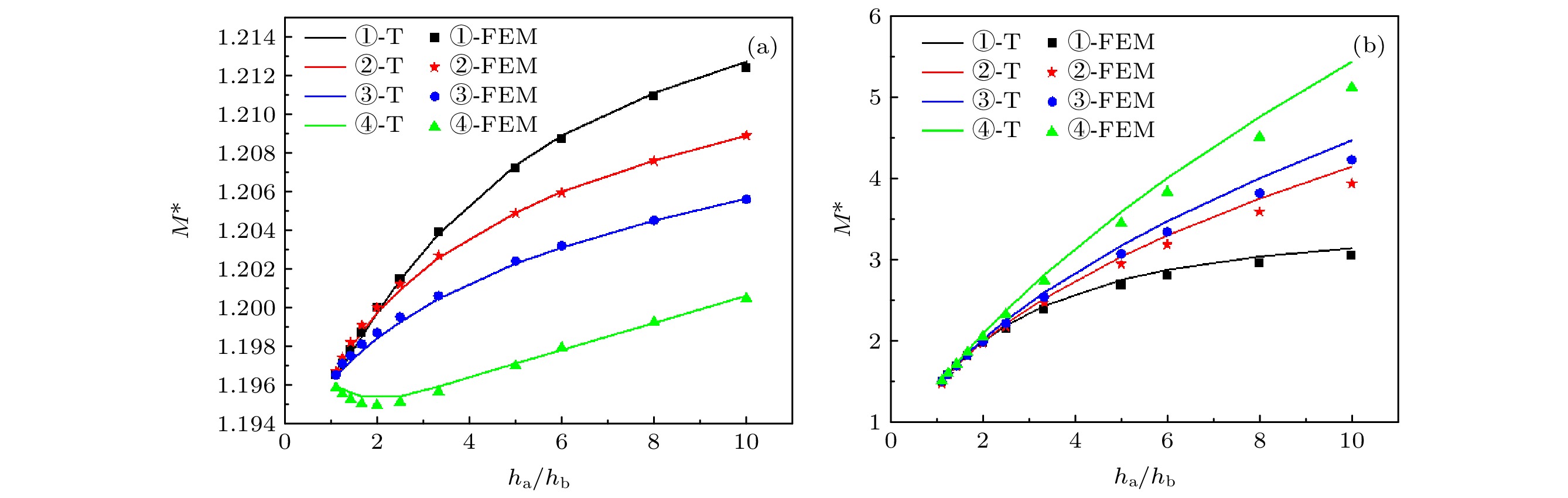
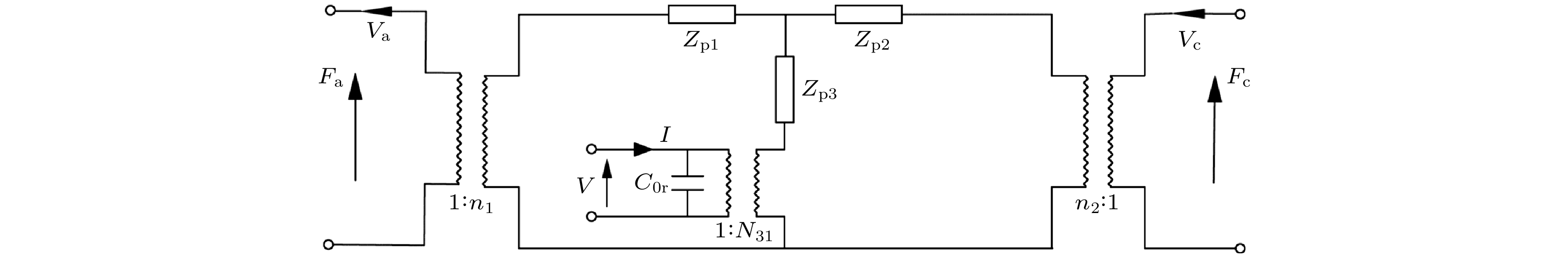
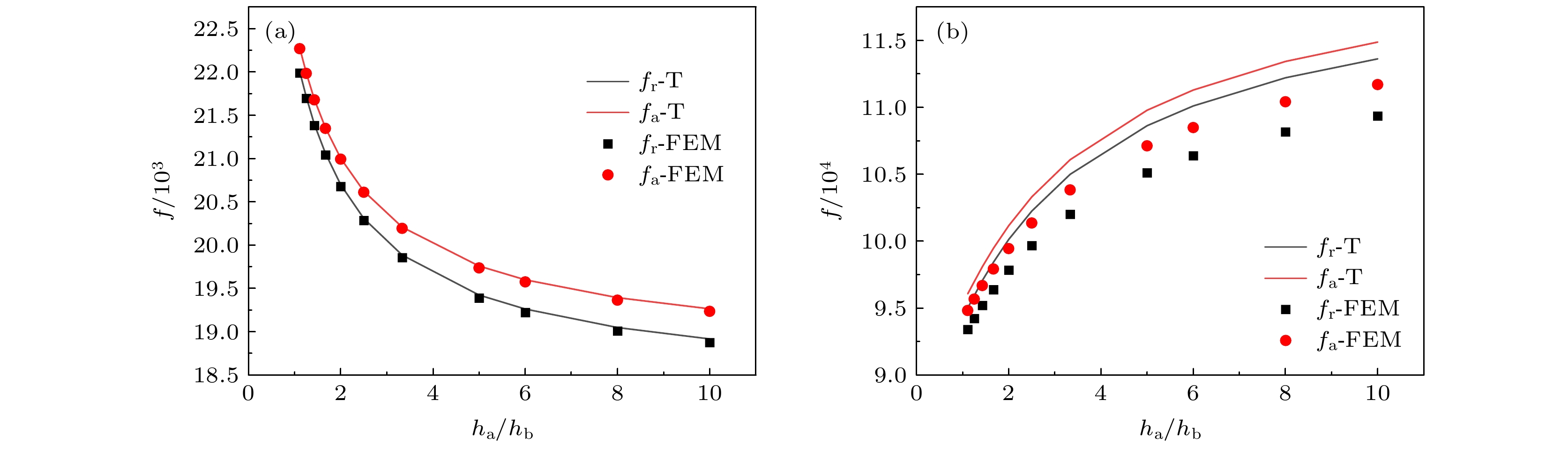
The variable thickness annular radial piezoelectric ultrasonic transducer can realize impedance transformation and energy concentration, has the advantages of large radiation area and full directivity, and is widely used in power ultrasound, underwater acoustic and other fields. Because solving complex variable thickness metal ring radial vibration wave equation is more difficult, in this paper, the radial vibration of metal rings with variable thickness is transformed into the superposition of the radial vibrations of N metal rings with equal thickness by using the transfer matrix method. The equivalent circuit diagram, the resonance frequency equation and the expression of the displacement amplification coefficient of the radial vibration of the metal thin ring with arbitrary thickness are obtained. The relationship between the displacement amplification coefficient and the geometric size of the cone, power function, exponential and catenary metal rings is analyzed. On this basis, the equivalent circuit and resonance frequency equation of radial vibration of piezoelectric ultrasonic transducer which is composed of a metal ring with variable thickness and a piezoelectric ring with equal thickness are derived. In order to verify the correctness of the theoretical results, the finite element software is used in simulation, and the numerical solutions of the first and second order resonance frequency and displacement amplification coefficients are in good agreement with the theoretical solutions. In this paper, the universal solution of radial vibration of metal ring with arbitrary variable thickness is given, which provides theoretical guidance for designing and optimizing the radial piezoelectric ultrasonic transducers.
-
Keywords:
- annular piezoelectric ultrasonic transducer/
- radial vibration/
- transfer matrix method/
- equivalent circuit
[1] [2] [3] [4] [5] [6] [7] [8] [9] [10] [11] [12] [13] [14] [15] [16] [17] [18] [19] [20] [21] [22] [23] [24] [25] [26] -
$ {h}_{{\rm{b}}}/{\rm{m}}{\rm{m}} $ $ {h}_{{\rm{a}}}/{\rm{m}}{\rm{m}} $ $ {f}_{{\rm{r}}1}/{\rm{H}}{\rm{z}} $ ${ {f}^{ {\rm{*} } }_{ {\rm{r} }1} }/{\rm{H} }{\rm{z} }$ ${\varDelta }_{ {f}_{ {\rm{r} }1} }/{\rm{\%} }$ $ {f}_{{\rm{r}}2}/{\rm{H}}{\rm{z}} $ ${ {f}^{*}_{r2} }/{\rm{H} }{\rm{z} }$ ${\varDelta }_{ {f}_{ {\rm{r} }2} }/{\rm{\%} }$ 锥型 6 10 21894 21892 0.01 112380 110790 1.44 幂函数型 5 10 21679 21679 0 113330 111720 1.44 指数型 4 10 21401 21399 0.01 112770 111480 1.16 悬链线型 3 10 20968 20957 0.05 109700 108890 0.74 $ {h}_{{\rm{b}}}/{\rm{m}}{\rm{m}} $ $ {h}_{{\rm{a}}}/{\rm{m}}{\rm{m}} $ $ {M}_{{\rm{r}}1}^{{\rm{*}}} $ $ {M}_{{\rm{r}}1}^{{\rm{*}}{\rm{*}}} $ ${\varDelta }_{ {M}_{ {\rm{r} }1}^{*} }$/% $ {M}_{{\rm{r}}2}^{{\rm{*}}} $ $ {M}_{{\rm{r}}2}^{{\rm{*}}{\rm{*}}} $ ${\varDelta }_{ {M}_{ {\rm{r} }2}^{*} }/{\rm{\%} }$ 锥型 6 10 1.1985 1.1987 0.02 1.8304 1.8160 0.79 幂函数型 5 10 1.1997 1.2000 0.02 1.9876 1.9670 1.04 指数型 4 10 1.1992 1.1995 0.02 2.2501 2.2135 1.16 悬链线型 3 10 1.1959 1.1956 0.02 2.8118 2.7359 2.77 $ {h}_{{\rm{b}}}/{\rm{m}}{\rm{m}} $ $ {h}_{{\rm{a}}}/{\rm{m}}{\rm{m}} $ $ {f}_{{\rm{r}}1}/{\rm{H}}{\rm{z}} $ ${ {f}^{*}_{ {\rm{r} }1} }/{\rm{H} }{\rm{z} }$ ${\varDelta }_{ {f}_{ {\rm{r} }1} }/$% $ {f}_{{\rm{a}}1}/{\rm{H}}{\rm{z}} $ ${ {f}^{*}_{ {\rm{a} }1} }/{\rm{H} }{\rm{z} }$ ${\varDelta }_{ {f}_{ {\rm{a} }1} }/$% $ {K}_{{\rm{e}}{\rm{f}}{\rm{f}}1} $ $ {K}_{{\rm{e}}{\rm{f}}{\rm{f}}1}^{{\rm{*}}} $ 9 10 22002 21989 0.06 22276 22269 0.03 0.156 0.158 6 10 21059 21042 0.08 21355 21348 0.03 0.166 0.169 3 10 19886 19856 0.15 20209 20192 0.08 0.178 0.182 $ {h}_{{\rm{b}}}/{\rm{m}}{\rm{m}} $ $ {h}_{{\rm{a}}}/{\rm{m}}{\rm{m}} $ $ {f}_{{\rm{r}}2}/{\rm{H}}{\rm{z}} $ ${ {f}^{*}_{ {\rm{r} }2} }/{\rm{H} }{\rm{z} }$ ${\varDelta }_{ {f}_{ {\rm{r} }2} }/$% $ {f}_{{\rm{a}}2}/{\rm{H}}{\rm{z}} $ ${ {f}^{*}_{ {\rm{a} }2} }/{\rm{H} }{\rm{z} }$ ${\varDelta }_{ {f}_{ {\rm{a} }2} }/$% $ {K}_{{\rm{e}}{\rm{f}}{\rm{f}}2} $ $ {K}_{{\rm{e}}{\rm{f}}{\rm{f}}2}^{{\rm{*}}} $ 9 10 95014 93401 1.73 96069 94814 1.32 0.148 0.172 6 10 98432 96383 2.13 99471 97922 1.58 0.144 0.177 3 10 105005 102020 2.93 106094 103830 2.18 0.143 0.186 -
[1] [2] [3] [4] [5] [6] [7] [8] [9] [10] [11] [12] [13] [14] [15] [16] [17] [18] [19] [20] [21] [22] [23] [24] [25] [26]
Catalog
Metrics
- Abstract views:3112
- PDF Downloads:71
- Cited By:0













DownLoad:








