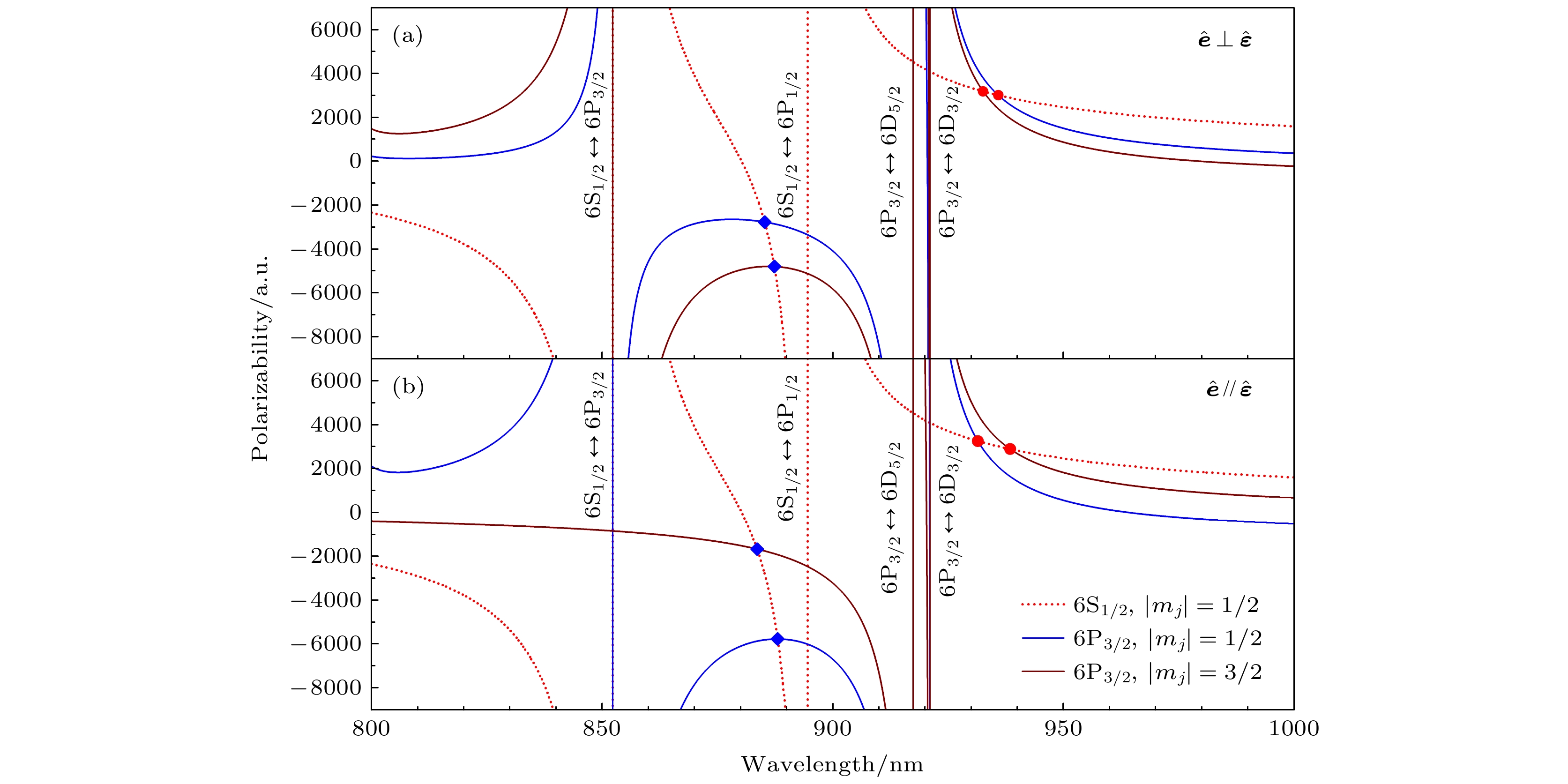
Laser cooling and trapping of neutral atoms is of great significance for studying the physical and chemical properties of atoms. To further realize the spatial localization of atoms, optical dipole trap (ODT) was proposed to manipulate individual atoms, ions or molecules and has become an increasingly important technique in the field of cold atomic physics and quantum optics. To eliminate the differential light shift of transitions between atomic states, ODT can be turned off during excitation/radiation. However, it will shorten the trap lifetime of the atom and reduce the repetition rate of the single photon. The AC stark shift can be eliminated experimentally by constructing blue-detuned dark ODT, but the micron-level dark ODT usually requires more complex experimental equipment and is not easy to operate. Therefore, magic-wavelength ODT was constructed to realize that the transition frequency of photons between atomic states is the same as in free space. When the trapping laser makes the differential light shift of the transition between the two atomic states zero, the laser wavelength is called the magic wavelength. The magic-wavelength ODT can eliminate the differential light shift of the transition between atoms, improve the repetition rate of the experimental sequence and weaken the atomic decoherence. In recent years, it has become a powerful tool for manipulating cold atoms, especially for coherently manipulating the atomic inner states. In the present work, with the theory of multi-level model, we calculate the dynamic electric polarizability of the 6S
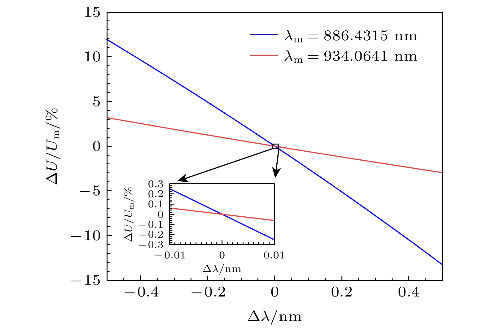
1/2ground state and the 6P
3/2excited state connecting the D2 line of cesium atom in a range of 800–1000 nm, and obtain the magic wavelength of the optical trapping laser to trap the ground state and the excited state. Since the polarizability of atomic states with angular momentum greater than 0.5 is very sensitive to the polarization angle, the polarization-angle-dependent magic wavelength and the corresponding magic polarizability are analyzed by taking the linearly-polarized trapping laser for example. The magic polarization angle is 54.7° and the magic wavelength at this angle are 886.4315 and 934.0641 nm, respectively. The robustness of the magic conditions and the feasibility of the experimental operation are further analyzed.