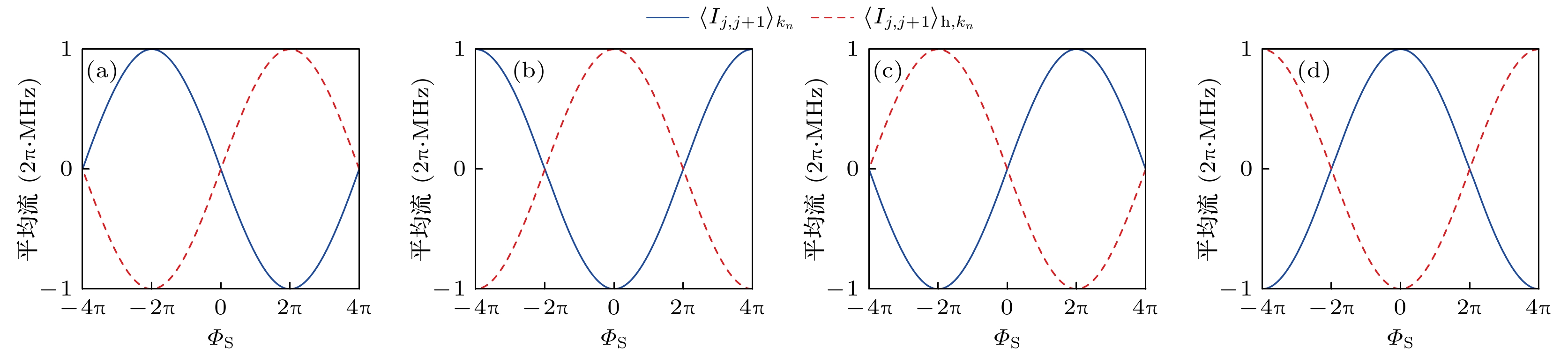
In this paper, we study the transport properties of quantum states in the square-lattice quantum bit model by using inductive couplers to generate the artificial gauge potential (effective magnetic flux). It is found by theoretical calculation that the eigenstates of single particle and single hole have the same eigen energy spectrum, and the average particle and hole currents, sinusoidally modulated by the effective magnetic flux, are opposite to each other with respect to the same eigen energy. For an initial single-particle or single-hole state where only one lattice site is occuplied, if the time-inversion symmetry is preserved (the effective magnetic flux is an integral multiple of 4π), the components of the time-dependent wave functions of the single particle and the single hole are equal, otherwise they are not equal. The analysis demonstrates that the above calculation results are due to the fact that the particle-hole operation for the system Hamiltonian is equivalent to the time inversion. In addition, it is found that when the effective magnetic flux is π, a single particle or a single hole is only transported between the initial bit and two adjacent bits, and when the effective magnetic flux is 0, a single particle or a single hole is transported to the diagonal bit through two adjacent bits, and then transported in reverse. Regardless of the value of effective magnetic flux, both the single-particle and single-hole states share the same average (particle or hole) current and lattice site occupation probability.