Self-testing is the high-level security verification of a claimed quantum device, confirming the quantum states prepared in the device and the measurements performed based solely on the observed statistics. The statistical correlations can realize the self-testing of the quantum system in the preparing-and-measuring scenario. However, most of previous studies focused on the self-testing of shared entangled states between devices, at present only a few researches are presented and the existing work can only simultaneously self-test the states and measurements when some witness inequalities reach a maximum violation. We focus on four-state preparation and the selected scenarios of two measurements. In this scenario, Armin Tavakoli et al. [Tavakoli A, Kaniewski J, Vértesi T, Rosset D, Brunner N 2018
Phys. Rev. A
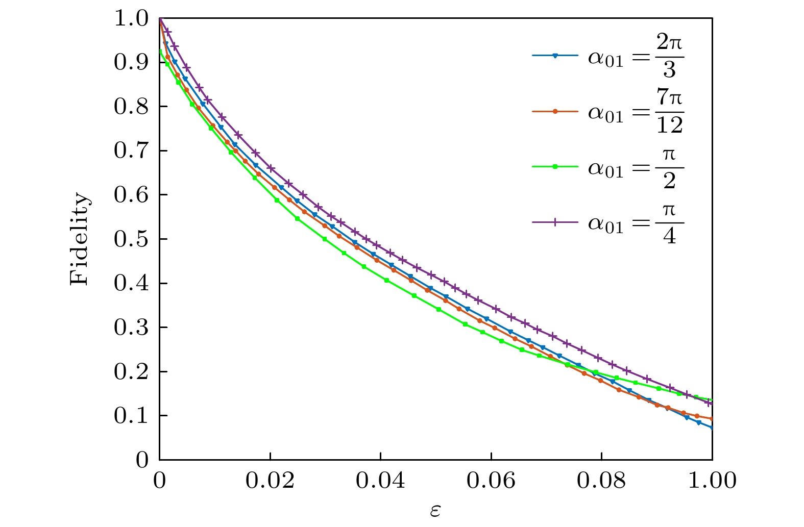
98062307] have put forward a criterion based on the dimensional witness violation inequality which can achieve BB84 particles and corresponding Pauli measurements. However, in addition to the maximum violation of the inequality, any statistics with deviation from the maximum deviation cannot be self-tested. Besides, only the BB84 particle preparation and measurements system can be self-tested with that criterion, resulting in a large number of four-state preparation and two measurement systems that cannot be self-tested. Therefore, in this work, in addition to the maximum violation of that dimension inequality, we directly focus on the full observed statistics and further propose some new criteria for self-testing qubit quantum systems in the preparing-and-measiuring scenarios. And the self-testing criteria are proven in an ideal case. We construct a local isometry by using the constructions commonly used in device-independent cases, exchange the target system with the additional system, and realize the self-testing of more qubit state sets and measurement sets than BB84 particles. This meets the requirements for practical experiments to realize various tasks by different quantum state sets. In addition, we perform a robust analysis of the proposed criteria and use fidelity to describe the closeness of the state to the ideal state of the auxiliary system. Finally, an improved dimensional-dependent NPA method is used to optimize the lower bound of the robustness, making the new criteria practical under experimental noise. We use the YALIMP software package in MATLAB and the solver SEDUMI to solve this optimization problem. The present research increases the diversity of qubit state preparations and self-testing of measurement system, which is beneficial to the actual self-testing of different non-entangled single quantum systems.