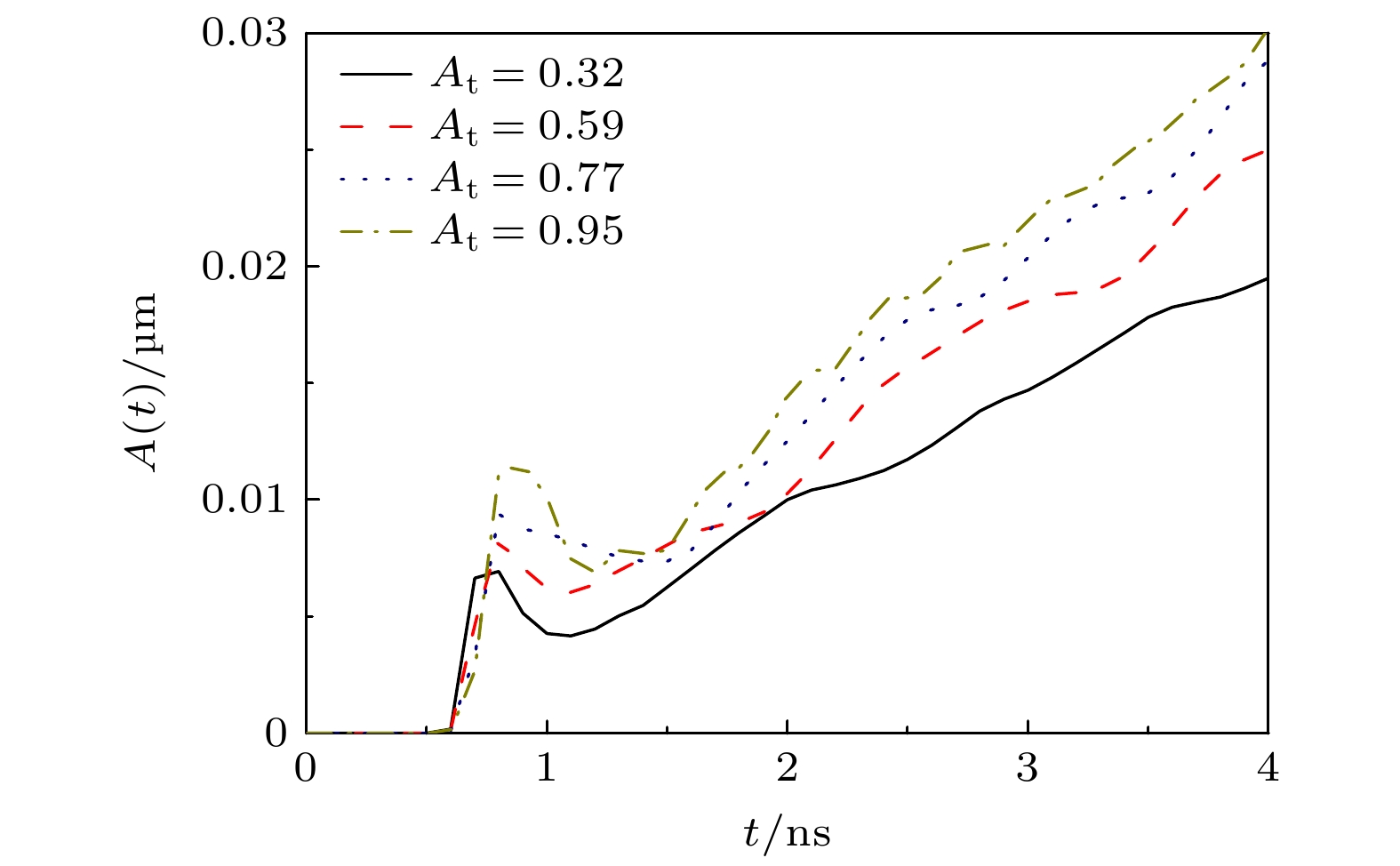
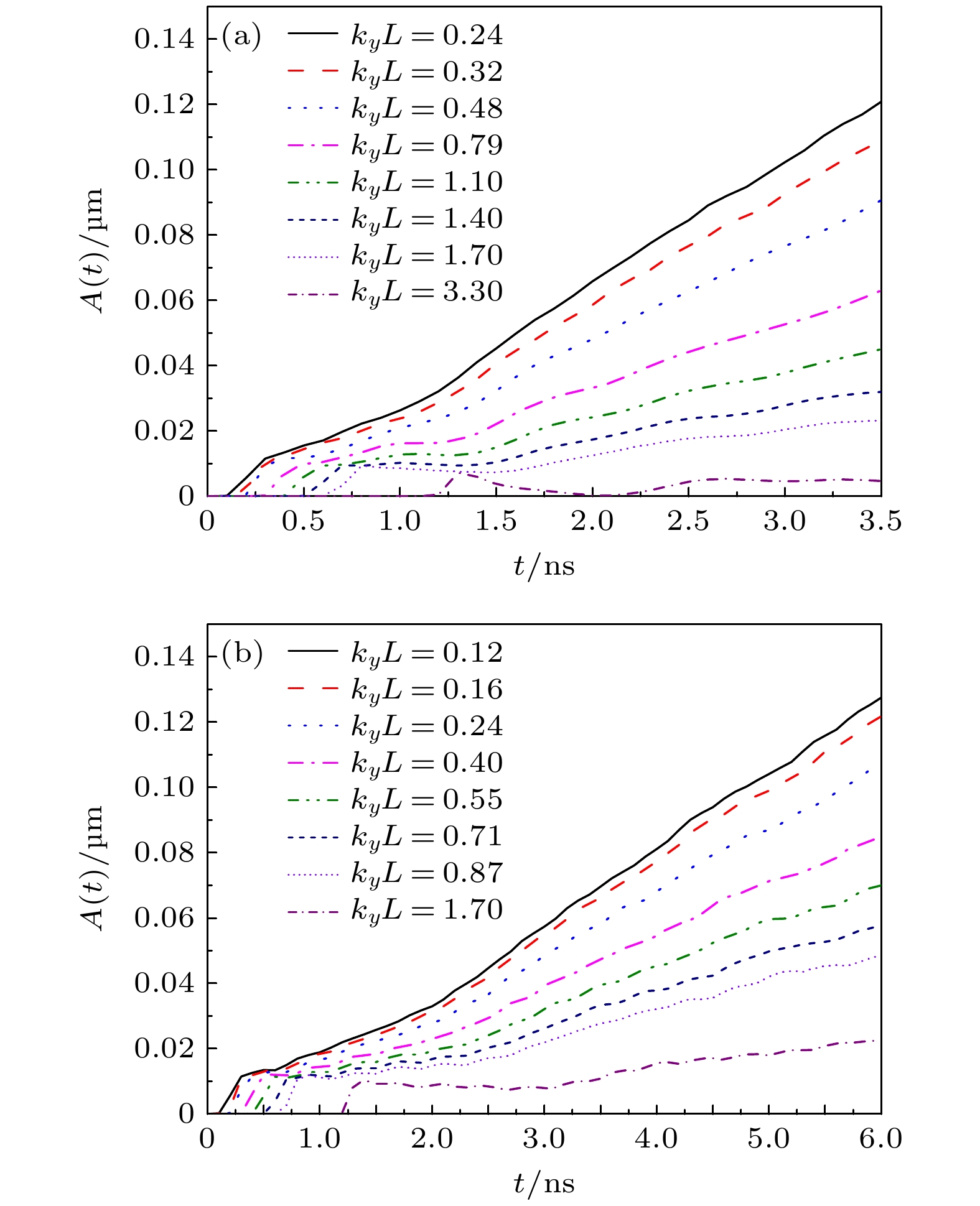
The interaction between the shock and the internal density perturbation of the target material produces a Richtmyer-Meshkov-like (RM-like) instability, which couples with the ablation front and generates instability seeds. Recent studies have demonstrated the significance of internal material density perturbations to implosion performance. This paper presents a two-dimensional numerical investigation of the growth of the RM-like instability in linear region and its coupling mechanism with the interface. Euler equations in two dimensions are solved in Cartesian coordinates by using the fifth-order WENO scheme in space and the two-step Runge-Kutta scheme in time. The computational domain has a length of 200 μm in the
x-direction and
λ
yin the
y-direction. The numerical resolution adopted in this paper is
$ {\Delta _x} = {\Delta _y} = {\lambda _y}/128 $
. A periodic boundary condition is used in the
y-direction, while an outflow boundary condition is used in the
x-direction. The interaction between shock and density perturbation will deposit vorticity in the density perturbation region. The width of the density perturbation region can be represented by the width of the vortex pair. The growth rate of the RM-like instability can be represented by the growth rate of the width of the density-disturbed region or the maximum perturbation velocity in the
y-direction. The simulation results show that the growth rate of the vortex pair width is proportional to the perturbation wave number
k
y, the perturbation amplitude
η, and the velocity difference before and after the shock wave Δ
u, specifically, δ
v∝
k
yΔ
uη. In the problem of coupling the RM-like instability with the interface, we calculate the derivation of the interface perturbation amplitude with respect to time to obtain the growth rate of the interface. It is concluded from the simulations that the coupling of the RM-like instability with the interface has two mechanisms: acoustic coupling and vortex merging. When the density perturbation region is far from the interface, only acoustic wave is coupled with the interface. The dimensionless growth rate of interface perturbation caused by acoustic coupling decays exponentially with
k
y
L, δ
v
i/(
k
yΔ
uη)∝
$ {{\text{e}}^{ - {k_y}L}} $
. When the density perturbation region is closer to the interface, acoustic coupling and vortex merging work together. The vortex merging leads to an increase in the perturbation velocity when the Atwood number of the interface is positive. When the Atwood number is positive, reducing the Atwood number at the interface and increasing the width of the transition layer at the interface can both reduce the growth of interface perturbation caused by the RM-like instability coupling.