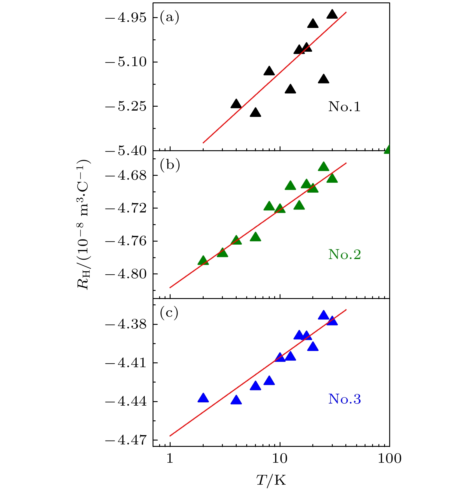
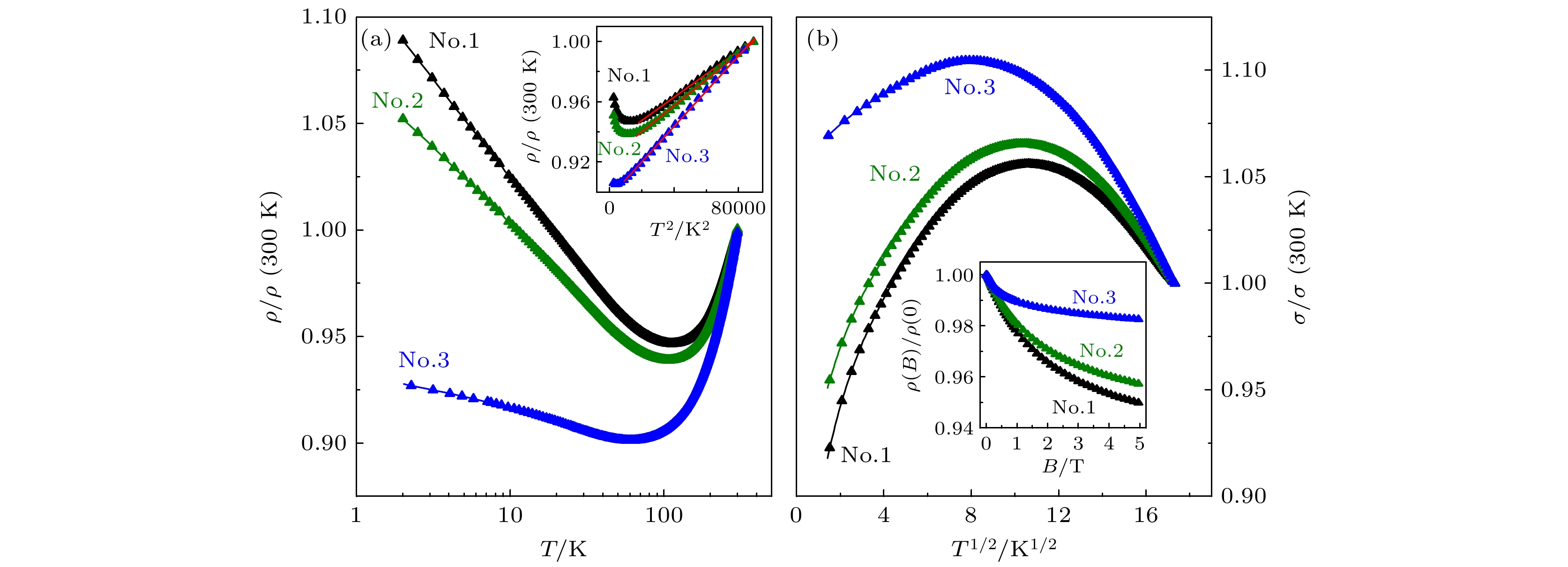
\begin{document}$T > {T_{\min }}$\end{document}, where \begin{document}${T_{\min }}$\end{document} is the temperature at which the resistivity reaches a minimum value), the resistivity of each film increases with temperature, and exhibits a linear relationship with the square of the temperature. In the low-temperature region (\begin{document}$T < {T_{\min }}$\end{document}), the resistivity increases with decreasing temperature and varies linearly with \begin{document}$ \ln T $\end{document}. This temperature dependent behavior of resistivity cannot be explained by the general electron-electron interaction or weak localization effects in homogeneous disordered conductors and nor by Kondo effect. After quantitative analysis, it is found that the \begin{document}$ \ln T $\end{document} behavior of resistivity at low temperatures can be explained by the electron-electron Coulomb interaction effect in the presence of granularity. In addition, it is found that the Hall coefficient \begin{document}$ {R_{\text{H}}} $\end{document} also varies linearly with \begin{document}$ \ln T $\end{document} for the Ba0.94La0.06SnO3 film, which also quantitatively accords with the theoretical prediction of the electron-electron Coulomb interaction effects in the granular metals. The results of cross-section high-resolution transmission electron microscope indicate that although the films have epitaxial structures as a whole, there are many strip-shaped amorphous regions in films, which makes the films have electrical transport properties similar to those of metal granular films. Our results provide strong support for the validity of the theory concerning the effects of Coulomb interaction on the conductivity and Hall coefficient in granular metals."> Low-temperature electrical transport properties of La doped BaSnO<sub>3</sub> films - 必威体育下载

Search

Article

x

留言板

姓名
邮箱
手机号码
标题
留言内容
验证码

downloadPDF
Citation:

Yang Jian, Gao Kuang-Hong, Li Zhi-Qing
PDF
HTML
Get Citation
Metrics
  • Abstract views:2283
  • PDF Downloads:100
  • Cited By:0
Publishing process
  • Received Date:02 July 2023
  • Accepted Date:02 August 2023
  • Available Online:12 September 2023
  • Published Online:20 November 2023

    返回文章
    返回