The Hubble constant quantitatively characterizes the expansion rate of the current Universe, and its precise measurement has become a crucial scientific problem. In recent years, there has been an increasingly serious discrepancy between the local direct measurements of the Hubble constant and the global fitting results, where the local direct measurements come from the local distance ladder measurements of the late universe, and the global fitting results come from fitting the standard model of cosmology to the microwave background radiation from the early universe. If this discrepancy is not caused by the observation error and systematic error of any of the observation methods, it probably means that there is a new physics beyond the existing standard model of cosmology. This article briefly reviews the Hubble constant problem from two aspects with observational and theoretical points of view, and finally provide a perspective view from both observational and theoretical aspects by combining the author’s research on this problem in recent years. The observational review includes cosmological observations from both early Universe (either depending or independent of the CMB measurements) and late Universe (either depending or independent of the distant-ladder measurements), and the theoretical review includes model buildings from modifying both early Universe (either recombination history or expansion history) and late Universe (either homogeneous modifications or inhomogeneous modifications). The final observational perspective includes both local and non-local cosmic variances with their Hubble residual correlated to the matter density contrasts of observer and sample, respectively, and the final theoretical perspective concludes the interacting dark energy model as the most promising candidate for both Hubble tension and
S
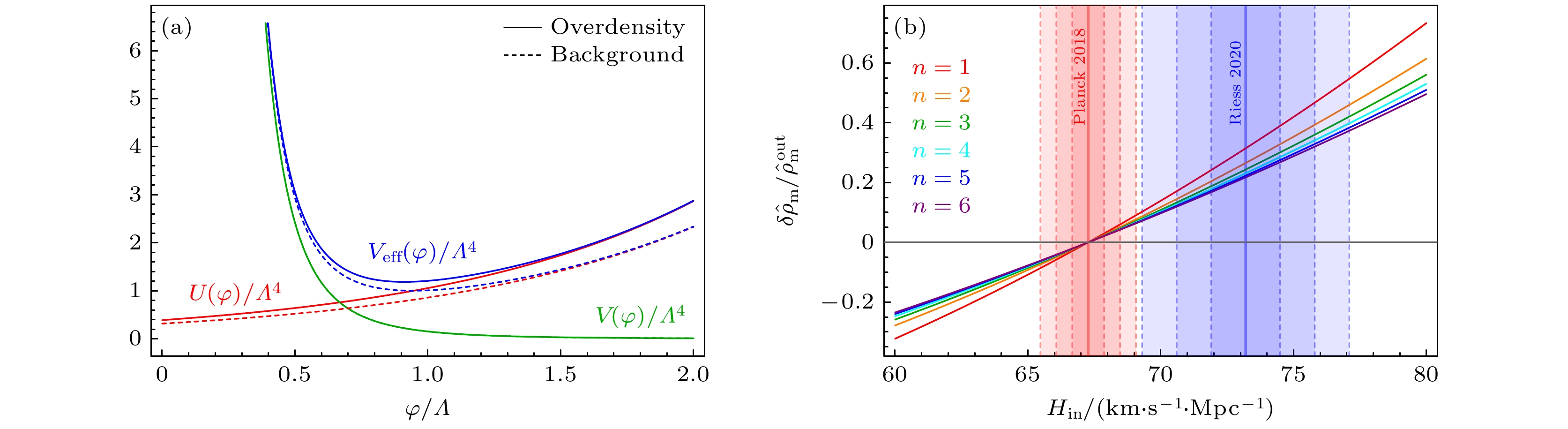
8tension, which can be specifically realized in a chameleon dark energy model, pointing to a scale-dependent effective cosmological constant.