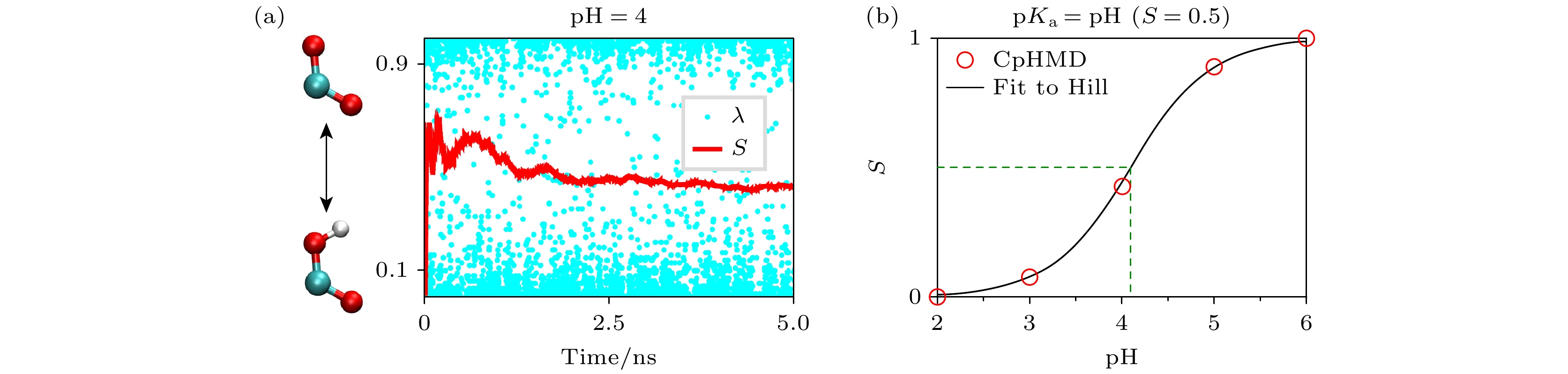
\begin{document}$ {\mathrm{p}}{K}_{{\mathrm{a}}} $\end{document} values, which determine the deprotonation equilibria under a pH condition. However, wet-lab experiments are often expensive and time consuming. In some cases, owing to the structural complexity of a protein, \begin{document}$ {\mathrm{p}}{K}_{{\mathrm{a}}} $\end{document} measurements become difficult, making theoretical \begin{document}$ {\mathrm{p}}{K}_{{\mathrm{a}}} $\end{document} predictions in a dry laboratory more advantageous. In the past thirty years, many efforts have been made to accurately and fast predict protein \begin{document}$ {\mathrm{p}}{K}_{{\mathrm{a}}} $\end{document} with physics-based methods. Theoretically, constant pH molecular dynamics (CpHMD) method that takes conformational fluctuations into account gives the most accurate predictions, especially the explicit-solvent CpHMD model proposed by Huang and coworkers (2016 J. Chem. Theory Comput. 12 5411) which in principle is applicable to any system that can be described by a force field. However, lengthy molecular simulations are usually necessary for the extensive sampling of conformation. In particular, the computational complexity increases significantly if water molecules are included explicitly in the simulation system. Thus, CpHMD is not suitable for high-throughout computing requested in industry circle. To accelerate \begin{document}$ {\mathrm{p}}{K}_{{\mathrm{a}}} $\end{document} prediction, Poisson-Boltzmann (PB) or empirical equation-based schemes, such as H++ and PropKa, have been developed and widely used where \begin{document}$ {\mathrm{p}}{K}_{{\mathrm{a}}} $\end{document} values are obtained via one-structure calculations. Recently, artificial intelligence (AI) is applied to the area of protein \begin{document}$ {\mathrm{p}}{K}_{{\mathrm{a}}} $\end{document} prediction, which leads to the development of DeepKa by Huang laboratory (2021 ACS Omega 6 34823), the first AI-driven \begin{document}$ {\mathrm{p}}{K}_{{\mathrm{a}}} $\end{document} predictor. In this paper, we review the advances in protein \begin{document}$ {\mathrm{p}}{K}_{{\mathrm{a}}} $\end{document} prediction contributed mainly by CpHMD methods, PB or empirical equation-based schemes, and AI models. Notably, the modeling hypotheses explained in the review would shed light on future development of more powerful protein \begin{document}$ {\mathrm{p}}{K}_{{\mathrm{a}}} $\end{document} predictors."> Progress in protein p<i>K</i><sub>a</sub> prediction - 必威体育下载

Search

Article

x

留言板

姓名
邮箱
手机号码
标题
留言内容
验证码

downloadPDF
Citation:

Luo Fang-Fang, Cai Zhi-Tao, Huang Yan-Dong
PDF
HTML
Get Citation
Metrics
  • Abstract views:2616
  • PDF Downloads:131
  • Cited By:0
Publishing process
  • Received Date:20 August 2023
  • Accepted Date:01 September 2023
  • Available Online:15 September 2023
  • Published Online:20 December 2023

    返回文章
    返回